Effects of Geomagnetic Storm Classes on the Ionosphere at Korhogo Station

Abstract

This work is a study of the effects of geomagnetic storm classes on the ionosphere at the Korhogo station (Lat. 9.3˚N; Long. 354.6˚E; dip. 0.6˚S). The years covered by the study are 1993, 1995, 1998, and 2001. The ionospheric parameter used is the critical frequency of the F2 layer of the ionosphere (foF2). The geomagnetic storm classes considered are weak storms, moderate storms, and intense storms. The study of the effects on the diurnal profiles of foF2 is carried out by comparing the profiles of storm periods with those of periods without storms. The occurrence and intensity of ionospheric storms generated by geomagnetic storms are studied from the formula of the deviation relation of foF2 in disturbed periods compared to periods without storms (ΔfoF2). The results show that weak storms have no significant effect on all types of diurnal foF2 profiles. Moderate and intense storms disrupt the “noon bite out” profiles but do not disrupt the other types of profiles. The analysis of the evolution of ΔfoF2 shows that all classes of magnetic storms generate positive storms whose peaks are more pronounced in the night-morning sector (45%, 50%, 78%). Moderate and intense storms sometimes generate negative storms in the night-morning sector. Positive storms are more intense during intense storms, but negative storms are more intense during moderate storms.

Share and Cite:

Guibula, K., Diabate, A., Sawadogo, W.E., Kindo, T. and Ouattara, F. (2025) Effects of Geomagnetic Storm Classes on the Ionosphere at Korhogo Station. International Journal of Geosciences, 16, 155-168. doi: 10.4236/ijg.2025.163008.

1. Introduction

Geomagnetic storms are disturbances of the Earth’s magnetic field caused by the interaction between the solar wind and the Earth’s magnetosphere. Indeed, the solar wind carries part of the solar magnetic field into interplanetary space. This field is carried into interplanetary space by the solar wind and is the interplanetary magnetic field (IMF). It acts as a trigger for a magnetic storm. If the IMF is directed towards the south, in the opposite direction to the Earth’s magnetic field, there is a reconnection between the lines of the IMF and those of the Earth’s magnetic field [1]. This reconnection causes an opening of the Earth’s magnetosphere and thus exposes it to the influence of the solar wind. A geomagnetic storm then occurs. The effects of geomagnetic storms induce ionospheric disturbances called ionospheric storms [2], characterized by fluctuations in the electron density of the ionosphere, which can disrupt radio and satellite communications, radio wave propagation, ground-based electrical networks, GPS navigation systems [3]. Ionospheric storms are classified into positive and negative storms. Thus, if the electron density of the ionosphere increases during a geomagnetic storm, compared to its density during calm periods, it results in ionospheric disturbances called positive ionospheric storms or positive storms [4]-[6]. On the contrary, if during a geomagnetic storm, the electron density of the ionosphere decreases compared to the density during calm periods, it results in ionospheric disturbances called negative ionospheric storms or negative storms [4] [7] [8]. It is well known that negative ionospheric storms at low and mid-latitudes result mainly from changes in thermospheric composition that make the thermosphere richer in molecular concentration [N2] and poorer in atomic concentration [O] so that chemical recombination becomes faster than normal [9] [10]. As for positive storms at low and mid-latitudes, they result from the combination of the following phenomena during geomagnetic storms: 1) the rapid slowdown of recombination processes and plasma diffusion by the mechanical effects of neutral winds towards the equator [11]-[13] and 2) the rapid strengthening of the equatorial ionospheric fountain by rapidly penetrating electric fields (PPEF) enhanced towards the east [14]-[17]. Ionospheric storms are the responses of the ionosphere to geomagnetic storms.

As for positive storms at low and mid-latitudes, they result from the combination of the following phenomena during geomagnetic storms: 1) the rapid decrease of recombination processes and plasma diffusion by the mechanical effects of neutral winds towards the equator [11] [12] and 2) the rapid strengthening of the equatorial ionospheric fountain by rapidly penetrating electric fields (PPEF) enhanced towards the east [14]-[17]. Ionospheric storms are the responses of the ionosphere to geomagnetic storms.

In the past, several ionospheric parameters have been used to study the responses of the ionosphere to geomagnetic storms. These include the peak electron density (Nmax) [18]-[20], the critical frequency of the F2 layer (foF2) [21]-[25], and the Total Electron Content of the ionosphere (TEC) [26]-[31]. These studies have allowed us to understand, among other things, that the responses of the ionosphere to geomagnetic storms depend on the phases of the geomagnetic storm, solar activity, seasons, the geomagnetic position of the station, and times of day. However, important aspects of the responses of the ionosphere still remain to be elucidated, particularly in the sector of the West African equatorial ionosphere, where studies on the responses of the ionosphere to geomagnetic storms are weak. In this manuscript, we use the ionospheric parameter foF2 to study the responses of the ionosphere to geomagnetic storms at a West African equatorial station (Korhogo: Lat. 9.3˚N; Long. 354.6˚E; dip. 0.6˚S). This study contributes to the understanding of the responses of the equatorial ionosphere to weak, moderate, and intense geomagnetic storms. This manuscript consists of two parts. The first part presents the tools and methods used to conduct the study, and the second part presents the results of the study and the discussion.

2. Materials and Methods

In this study, the critical frequency of the F2 layer of the ionosphere (foF2) was used to characterize the responses of the ionosphere to geomagnetic storms. The data of this parameter come from the recordings of the Korhogo ionosonde (Lat. 9.3˚N; Long. 354.6˚E; dip. 0.6˚S). This station is an equatorial station that is under the influence of the equatorial electrojet [32]. Figure 1 presents the position of this station. The foF2 data of the station are available on the GIRGEA website: https://www.girgea.org/recherches/logiciels/

The Dst index was used to identify classes of geomagnetic storms. Data from this index are available on the website whose link is: https://wdc.kugi.kyoto-u.ac.jp/dstae/index.html

The Rz index was used to identify the solar phases of the years of the study using the method described by [33]. The data for this parameter are available on the website: https://omniweb.gsfc.nasa.gov/form/dx1.html

The dates of the five (05) calm days of the month were used to identify periods without geomagnetic storms. These dates are available on the site: https://wdc.kugi.kyoto-u.ac.jp/dstae/index.html

The diurnal profiles of foF2 during geomagnetic storm periods correspond to the daily hourly variations of the foF2 averages during storm periods. Similarly, the diurnal profiles of foF2 during storm-free periods (foF2_q) correspond to the daily hourly variations of the foF2 average during the five calmest days of the month.

A magnetic storm has an impact on a foF2 profile if this profile does not have the same characteristics as that of the calm period (period without storms). Otherwise, the storm has no effect on the profile. The types of foF2 profiles and their characteristics are those described by [34].

According to these authors, there are five types of foF2 profiles in the equatorial region: 1) the “Noon bite out” or “B” type, characterized by a double peak (one occurs in the morning and the other in the evening) and an ionization trough around local noon; 2) the “Dome” or “D” type, characterized by a single ionization maximum during the day; 3) the “Plateau” or “P” type characterized by a constant trend of ionization during the day; 4) the “Morning peak” or “M” type characterized by a single ionization peak in the morning followed by a decreasing trend of foF2 during the day; 5) the “Reversed” or “R” type characterized by the presence of a single ionization peak in the evening.

Figure 1. Geographical position of the Korhogo station (KRGO). Equatorial station under the influence of the equatorial electrojet. The Korhogo station is located in the north of Ivory Coast (RCI).

An ionospheric storm is characterized by relation (1), which has been used by authors such as [35]-[37].

ΔfoF2= foF 2 _S foF 2 _q foF 2 _q ×100% (1)

ΔfoF2 is the relative deviation of foF2 in disturbed periods compared to the calm period. foF2_S is the hourly average of foF2 in storm periods and foF2_q is the hourly average of foF2 of the five calm days of the month. A geomagnetic storm generates a positive storm (Resp. negative) if ΔfoF2 ≥ 25% (Resp. ΔfoF2 ≤ −25%) for at least three hours [18].

Based on the minimum Dst values, geomagnetic storms are classified as follows: Weak storm (−50 nT < Dst ≤ −30 nT), moderate storm (−100 nT < Dst ≤ −50 nT), intense storm (−200 nT < Dst ≤ −100 nT), severe storm (−350 nT < Dst ≤ −200 nT) and extreme storm (Dst ≤ −30 nT) [38] [39]. Based on this classification and taking into account the years of the present study, the occurrence of geomagnetic storms is summarized in Table 1.

Table 1. Occurrence of geomagnetic storms during the different years of the study.

Classes dorage

1993

1995

1998

2001

Weak storm (−50 nT < Dst ≤ −30 nT)

12

15

19

14

Moderate storm (−100 nT < Dst ≤ −50 nT)

23

15

10

15

Intense storm (−200 nT < Dst ≤ −100 nT)

5

3

9

6

Severe storm (−350 nT < Dst ≤ −200 nT)

0

0

0

3

Extreme storm Dst ≤ −350 nT

0

0

0

1

3. Results and Discussion

3.1. Impact on foF2 Diurnal Profiles

Figure 2 presents the daily foF2 profiles by geomagnetic storm class and by years covered by this study. Panels I, II, and III correspond to the daily foF2 profiles, respectively, in periods of weak, moderate, and intense storms. Sub-panels a, b, c, and d indicate the foF2 profiles, respectively, during the years 1993, 1995, 1998, and 2001. The continuous line graphs and those in dashed lines correspond respectively to the evolution of foF2 in periods without storms (foF2_q) and in periods of geomagnetic storms. foF2_W, foF2_M and foF2_I denote the averages of foF2, respectively, in periods of weak, moderate, and intense storms.

Panels I show that the foF2 profiles during weak storm periods (foF2_W graph) are identical to those observed during periods without storms (foF2_q graph). Indeed, we have “Morning peak” profiles in 2001 (sub-panels d) and “Noon bite out” profiles during the other solar phases (sub-panels a, b, c). From these observations, we can say that weak storms did not have a significant effect on the foF2 profiles.

In panel II, we observe that in undisturbed periods (foF2_q graph), the foF2 profiles each present an ionization trough around local noon (“Noon bite out”) in 1993 (sub-panel a), in 1995 (sub-panel b) and in 1998 (sub-panel c). However, during these same years, we observe that in periods of moderate storms, the foF2 profiles (foF2_M graphs) present ionization maxima around local noon (“Dome”). In 2001 (panel d) and during the two magnetic periods (without storm and moderate storm), the profiles are of the morning peak type. The peaks of 13.53 MHz and 12.06 MHz reached 1000 TL, respectively, in moderate storms (foF2_M graph) and calm periods (foF2_q graph). From these different observations, we can say that the moderate storm disrupts the “Noon bite out” profiles but has no significant effect on the evening peak profiles.

Still, on panel II, we note that except for the year 1993 (sub-panel a), the foF2 profiles during moderate storm periods (graph foF2_M) always show an evening peak (2100 UT). However, during periods without storms (graph foF2_q), this evening peak only appears once (only on sub-panel d). These observations show that moderate storms are favorable to the occurrence of evening ionization peaks, characteristic of the increase before inversion of the electric field (PRE) [40]-[42].

In panel III, the diurnal profile of foF2 in a period without storms (graph of foF2_q) shows an ionization trough around local noon in 1998 (Sub-panel b). However, in periods of intense storms (graph of foF2_I), this trough disappears in favor of an ionization maximum around local noon. In 2001 (Sub-panel d), the foF2 profiles are of the “Morning peak” type in periods without storms (foF2_q) and in periods of intense storms (foF2_I). However, the peak is more pronounced in periods of intense storms (13.6 MHz) than in periods without storms (12.0 MHz). In sub-panel a, the diurnal profiles of foF2 are all of the “Reversed” type with a more pronounced evening peak in periods of intense storms (11.4 MHz). From these observations, we can conclude that the intense storm disrupts the “Noon Bite Out” profile but has no significant influence on the “morning peak” and “evening peak” profiles.

Figure 2. Diurnal profiles of foF2 during periods of weak (I), moderate (II), and intense (III) thunderstorms. Panels a, b, c, and d are the diurnal profiles of foF2 in 1993, 1995, 1998, and 2001, respectively.

The analysis of the profiles in Figure 2 shows that in general, 1) weak storms do not disturb the diurnal profiles of foF2, 2) intense and moderate storms disturb the “Noon bite out” profile but do not disturb the other types of profiles. The “noon bite out” profile is the signature of a strong equatorial electrojet [43], and we can, therefore, say that during periods of moderate and intense storms, the equatorial electrojet is disturbed. This result is in agreement with previous results.

Indeed, authors have proven that ionospheric fields and currents in the equatorial region and in low-latitude regions are strongly disturbed during periods of geomagnetic storms [2] [27] [28] [44]-[48]. According to some, these disturbances are linked to fast penetrating electric fields (PPEF) and dynamo-disturbing electric fields (DDEF) generated during magnetic storms [27] [28].

During geomagnetic storms, magnetospheric reconnection with a southward Bz causes rapid penetration of the magnetospheric convective electric field (PPEF) at high latitudes [49] [50]. In addition, disturbed thermospheric winds, related to Joule heating at high latitudes, generate dynamo disturbance electric fields (DDEF) [47] [51] [52]. These two processes (PPEF and DDEF) penetrate to low and mid-latitudes, modifying the characteristics of the equatorial and low latitude zonal electric fields and, consequently, perturbing the intensity and direction of the equatorial electrojet [19] [51] [53]-[55].

3.2. Ionospheric Storms

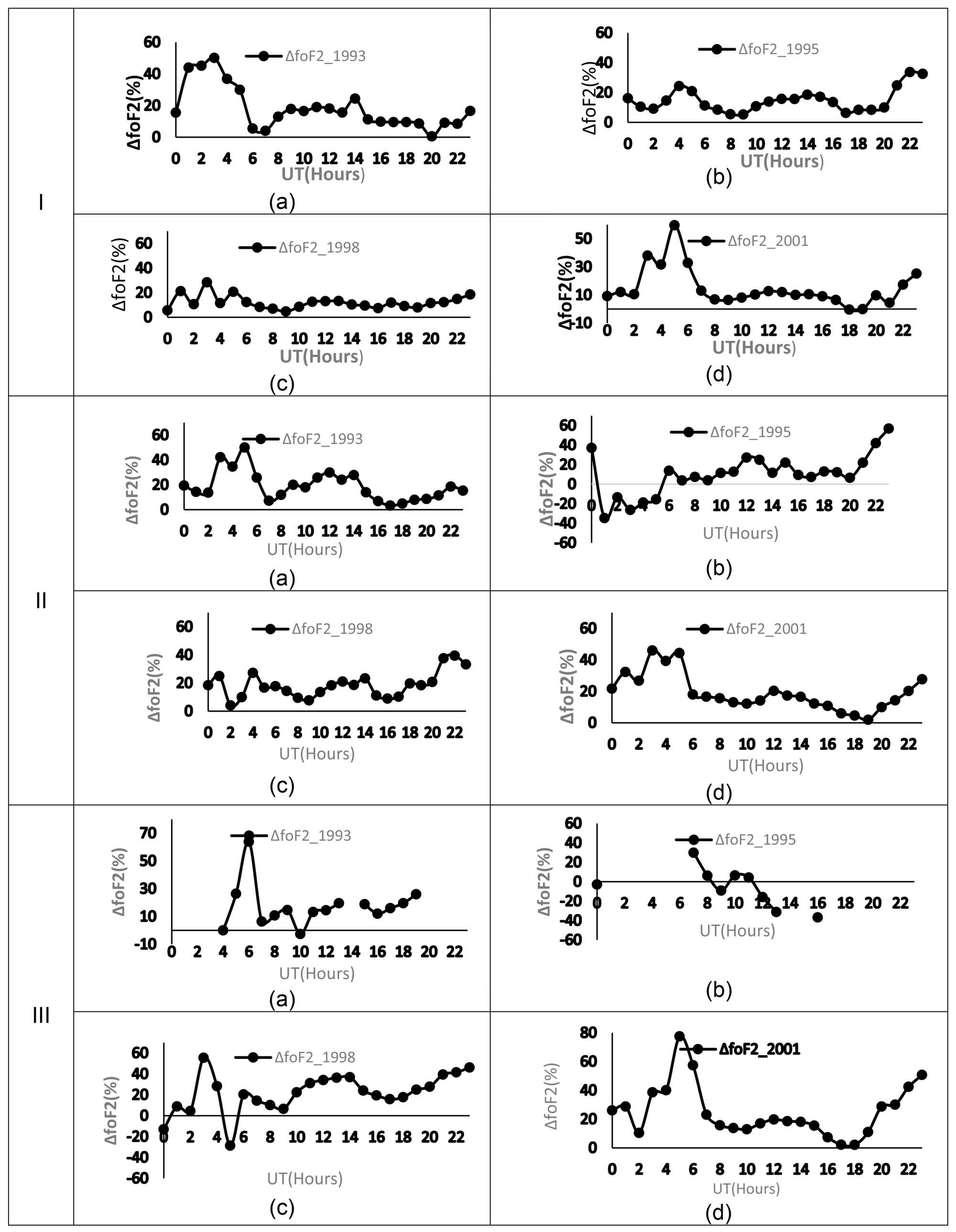
Figure 3 shows the evolution of ΔfoF2 during periods of weak (Panel I), moderate (Panel II), and intense (Panel III) storms. Sub-panels a, b, c, and d of each panel show the evolution of ΔfoF2 during the years 1993, 1995, 1998, and 2001, respectively.

The evolution of ΔfoF2 during weak storm periods (Panel I) shows that during all the years of the study (1993, 1995, 1998, 2001), we always have ∆foF2 ≥ 0. But in general, this parameter exceeds 25% in the night-morning sector (00:00 - 06:00 UT), around noon (11:00 - 14:00 UT), and then in the evening-night sector (18:00 – 23:00 UT). The peaks of 50% and 60% are reached in the night-morning sector respectively during the years 1993 and 2001. These observations show that weak storms generate positive storms in the night-morning sectors, around noon, then in the evening-night sector. These positive storms are more intense in the night-morning sector during the years 1993 (Descending solar phase) and 2001 (Solar maximum).

In panel II, the graph of sub-panel b shows that during the year 1995 (solar minimum), we have ΔfoF2 < −25% in the night-morning sector (00:00 - 06:00 UT), and it reaches a minimum of −40% at 01:00 UT. We also have ΔfoF2 > 25% around 12:00 UT and then after 21:00 UT. During the other years of the study (1993, 1998, 2001), we have ΔfoF2 > 25% in the night-morning sector (00:00 - 06:00 UT), around noon (11:00 - 14:00 UT) and then in the evening-night sector (18:00 - 23:00 UT). Peaks of 45% and 50% are observed in the night-morning sector during the years 1993 and 2001 respectively. These observations show that except for the year 1995 (solar minimum), when there were negative storms in the night-morning sector, moderate magnetic storms always generated positive ionospheric storms. Peaks of positive storms are observed in the night-morning sector during the years 1993 and 2001.

Figure 3. Variations of ΔfoF2 during periods of weak (Panel I), moderate (Panel II), and intense (Panel III) storms. Sub-panels a, b, c, and d of each panel show the evolution of ΔfoF2 during the years 1993, 1995, 1998, and 2001, respectively.

In panel III, we have ΔfoF2 ≥ 25% between 03:00 - 07:00 UT and between 00:00 - 06:00 UT, respectively, during the years 1993 and 2001. We also observe ΔfoF2 ≥ 25% in the evening-night sector during the year 2001. The peaks of ΔfoF2 are reached at 05:00 UT (77%), at 03:00 UT (55%), and at 06:00 UT (78%), respectively during the years 1993, 1998 and 2001. During the year 1998, we have ΔfoF2 ≤ −25% between 03:00 - 06:00 UT. From these observations, it is noted that, in general, intense storms generate positive storms whose peaks are more significant in the night-morning sector. A negative storm of low intensity (−28%) and short duration (03:00 - 06:00 UT) is also observed only in 1998.

The analysis of Figure 3 shows that most of the time, all classes of geomagnetic storms (weak, moderate, and intense) generate positive storms. But, we also note that moderate and intense storms sometimes generate negative storms in the night-morning sector. The Korhogo station is located at an equatorial latitude, and these observations are in agreement with [49] [50] [56] [57]. According to these authors, in addition to positive storms, negative storms appear in equatorial latitude regions during the initial and main phases of magnetic storms. Moreover, positive storms appear at all times of the day. However, negative storms only appear in the night-morning sector. These observations are in agreement with [21], for whom the occurrence of negative storms at low latitudes is preferred for the night and morning sectors due to the local temporal variation of neutral winds. In addition, positive storm peaks are more marked during periods of intense storms (ΔfoF2max = 78%) in the night-morning sector. But, negative storm peaks are more significant during periods of moderate storms (ΔfoF2 = −40%).

4. Conclusion

In this work, the responses of the ionosphere to weak, moderate, and intense geomagnetic storms were studied. The ionospheric parameter used is the critical frequency of the F2 layer (foF2), whose data come from the Korhogo station (Lat. 9.3˚N; Long. 354.6˚E; dip. 0.6˚S). The years of study are chosen according to the solar phases: 1993 (descending solar phase), 1995 (solar minimum), 1998 (ascending solar phase), 2001 (solar maximum). The results show that weak storms have no significant effect on all types of diurnal profiles of foF2. However, moderate and intense storms disturb the “Noon Bite Out” type profiles but do not disturb the other types of profiles. The analysis of the evolution of ΔfoF2 shows that all classes of magnetic storms generate positive storms whose peaks are more marked in the night-morning sector. Moderate and intense storms sometimes generate negative storms in the night-morning sector. Positive storms are more significant during intense storms, but negative storms are more marked during moderate storms. These results, which account for the responses of the equatorial ionosphere to a set of geomagnetic storms, open the way to future work on the impact of particular storms on the ionosphere of the same attitude sector.

Acknowledgements

The authors express their gratitude to the teams of GIRGEA, World Data Center for Geomagnetism, Kyoto, and Omniweb.

Conflicts of Interest

The authors declare no conflicts of interest regarding the publication of this paper.

References

[1] Dungey, J.W. (1961) Interplanetary Magnetic Field and the Auroral Zones. Physical Review Letters, 6, 47-48.[CrossRef
[2] Buonsanto, M.J. (1999) Ionospheric Storms—A Review. Space Science Reviews, 88, 563-601.[CrossRef
[3] Tsagouri, I. (2022) Space Weather Effects on the Earth’s Upper Atmosphere: Short Report on Ionospheric Storm Effects at Middle Latitudes. Atmosphere, 13, Article 346.[CrossRef
[4] de Abreu, A.J., Sahai, Y., Fagundes, P.R., Becker-Guedes, F., de Jesus, R., Guarnieri, F.L., et al. (2010) Response of the Ionospheric F-Region in the Brazilian Sector during the Super Geomagnetic Storm in April 2000 Observed by GPS. Advances in Space Research, 45, 1322-1329.[CrossRef
[5] de Jesus, R., Sahai, Y., Guarnieri, F.L., Fagundes, P.R., de Abreu, A.J., Becker-Guedes, F., et al. (2010) Effects Observed in the Ionospheric F-Region in the South American Sector during the Intense Geomagnetic Storm of 14 December 2006. Advances in Space Research, 46, 909-920.[CrossRef
[6] Sahai, Y., Becker-Guedes, F., Fagundes, P.R., Lima, W.L.C., Otsuka, Y., Huang, C.-S., et al. (2007) Response of Nighttime Equatorial and Low Latitude F-Region to the Geomagnetic Storm of August 18, 2003, in the Brazilian Sector. Advances in Space Research, 39, 1325-1334.[CrossRef
[7] Sahai, Y., Becker‐Guedes, F., Fagundes, P.R., de Jesus, R., de Abreu, A.J., Paxton, L.J., et al. (2009) Effects Observed in the Latin American Sector Ionospheric F Region during the Intense Geomagnetic Disturbances in the Early Part of November 2004. Journal of Geophysical Research: Space Physics, 114, A00A19.[CrossRef
[8] Sahai, Y., Fagundes, P.R., Becker‐Guedes, F., Bolzan, M.J.A., Abalde, J.R., Pillat, V.G., et al. (2005) Effects of the Major Geomagnetic Storms of October 2003 on the Equatorial and Low-Latitude F Region in Two Longitudinal Sectors. Journal of Geophysical Research: Space Physics, 110, A12S91.[CrossRef
[9] Prölss, G.W. (1995) Ionospheric F Region Storms. In: Volland, H., Ed., Handbook of Atmo Spheric Electrodynamics, CRC Press, 195-248.
[10] Fuller‐Rowell, T.J., Codrescu, M.V., Moffett, R.J. and Quegan, S. (1994) Response of the Thermosphere and Ionosphere to Geomagnetic Storms. Journal of Geophysical Research: Space Physics, 99, 3893-3914.[CrossRef
[11] Prölss, G.W. and Jung, M.J. (1978) Travelling Atmospheric Disturbances as a Possible Explanation for Daytime Positive Storm Effects of Moderate Duration at Middle Latitudes. Journal of Atmospheric and Terrestrial Physics, 40, 1351-1354.[CrossRef
[12] Balan, N., Shiokawa, K., Otsuka, Y., Kikuchi, T., Vijaya Lekshmi, D., Kawamura, S., et al. (2010) A Physical Mechanism of Positive Ionospheric Storms at Low Latitudes and Midlatitudes. Journal of Geophysical Research: Space Physics, 115, A02304.[CrossRef
[13] Balan, N., Yamamoto, M., Liu, J.Y., Otsuka, Y., Liu, H. and Lühr, H. (2011) New Aspects of Thermospheric and Ionospheric Storms Revealed by Champ. Journal of Geophysical Research: Space Physics, 116, A07305.[CrossRef
[14] Kikuchi, T., Araki, T., Maeda, H. and Maekawa, K. (1978) Transmission of Polar Electric Fields to the Equator. Nature, 273, 650-651.[CrossRef
[15] Kelley, M.C., Vlasov, M.N., Foster, J.C. and Coster, A.J. (2004) A Quantitative Explanation for the Phenomenon Known as Storm-Enhanced Density. Geophysical Research Letters, 31, L19809.[CrossRef
[16] Mannucci, A.J., Tsurutani, B.T., Iijima, B.A., Komjathy, A., Saito, A., Gonzalez, W.D., et al. (2005) Dayside Global Ionospheric Response to the Major Interplanetary Events of October 29-30, 2003 “Halloween Storms”. Geophysical Research Letters, 32, L12S02.[CrossRef
[17] Balan, N., Shiokawa, K., Otsuka, Y., Watanabe, S. and Bailey, G.J. (2009) Super Plasma Fountain and Equatorial Ionization Anomaly during Penetration Electric Field. Journal of Geophysical Research: Space Physics, 114, A03310.[CrossRef
[18] Kumar, V.V. and Parkinson, M.L. (2017) A Global Scale Picture of Ionospheric Peak Electron Density Changes during Geomagnetic Storms. Space Weather, 15, 637-652.[CrossRef
[19] Astafyeva, E., Zakharenkova, I. and Förster, M. (2015) Ionospheric Response to the 2015 St. Patrick’s Day Storm: A Global Multi-Instrumental Overview. Journal of Geophysical Research: Space Physics, 120, 9023-9037.[CrossRef
[20] Joshua, B.W., Adeniyi, J.O., Amory‐Mazaudier, C. and Adebiyi, S.J. (2021) On the Pre-Magnetic Storm Signatures in NMF2 in Some Equatorial, Low-and Mid-Latitude Stations. Journal of Geophysical Research: Space Physics, 126, e2021JA029459.[CrossRef
[21] Kane, R.P. (2005) Ionospheric foF2 Anomalies during Some Intense Geomagnetic storms. Annales Geophysicae, 23, 2487-2499.[CrossRef
[22] Singh, R. and Sripathi, S. (2017) Ionospheric Response to 22-23 June 2015 Storm as Investigated Using Ground-Based Ionosondes and GPS Receivers over India. Journal of Geophysical Research: Space Physics, 122, 11,645-11,664.[CrossRef
[23] Adekoya, B.J. and Adebesin, B.O. (2015) Ionospheric and Solar Wind Variation during Magnetic Storm Onset and Main Phase at Low-and Mid-Latitudes. Acta Geophysica, 63, 1150-1180.[CrossRef
[24] Adebesin, B., Olufemiand, B. and Kayode, J.S. (2012) On the Coexistence of Ionospheric Positive and Negative Storm Phases during January-December, 2000 Geo-magnetic Activities at East Asian Sector. Advances in Applied Science Research, 3, 349-370.
[25] Mansilla, G.A. and Zossi, M.M. (2013) Ionospheric Response to the 3 August 2010 Geomagnetic Storm at Mid and Mid-High Latitudes. Advances in Space Research, 51, 50-60.[CrossRef
[26] Cander, L.R. and Mihajlovic, S.J. (2005) Ionospheric Spatial and Temporal Variations during the 29-31 October 2003 Storm. Journal of Atmospheric and Solar-Terrestrial Physics, 67, 1118-1128.[CrossRef
[27] Astafyeva, E., Zakharenkova, I., Hozumi, K., Alken, P., Coïsson, P., Hairston, M.R., et al. (2018) Study of the Equatorial and Low‐Latitude Electrodynamic and Ionospheric Disturbances during the 22-23 June 2015 Geomagnetic Storm Using Ground‐based and Spaceborne Techniques. Journal of Geophysical Research: Space Physics, 123, 2424-2440.[CrossRef] [PubMed]
[28] Astafyeva, E., Zakharenkova, I. and Alken, P. (2016) Prompt Penetration Electric Fields and the Extreme Topside Ionospheric Response to the June 22-23, 2015 Geomagnetic Storm as Seen by the Swarm Constellation. Earth, Planets and Space, 68, Article No. 152.[CrossRef
[29] Immel, T.J. and Mannucci, A.J. (2013) Ionospheric Redistribution during Geomagnetic Storms. Journal of Geophysical Research: Space Physics, 118, 7928-7939.[CrossRef] [PubMed]
[30] Lastovicka, J. (2002) Monitoring and Forecasting of Ionospheric Space Weather—Effects of Geomagnetic Storms. Journal of Atmospheric and Solar-Terrestrial Physics, 64, 697-705.[CrossRef
[31] Berényi, K.A., Heilig, B., Urbář, J., Kouba, D., Kis, Á. and Barta, V. (2023) Comprehensive Analysis of the Ionospheric Response to the Largest Geomagnetic Storms from Solar Cycle 24 over Europe. Frontiers in Astronomy and Space Sciences, 10, Article 1092850.[CrossRef
[32] Obrou, O.K. (2008) Ionosphère équatoriale: Contribution à l’amélioration du modèle “international référence Ionosphère” (IRI). Master’s Thesis, Université de Cocody-Abidjan.
[33] Sawadogo, S., Gnabahou, D.A., Pahima, T. and Ouattara, F. (2024) Solar Activity: Towards a Standard Classification of Solar Phases from Cycle 1 to Cycle 24. Advances in Space Research, 73, 1041-1049.[CrossRef
[34] Faynot, J.M. and Villa, P. (1979) F Region at the Magnetic Equator. Annales Geophysicae, 35, 1-9.
[35] Vijaya Lekshmi, D., Balan, N., Tulasi Ram, S. and Liu, J.Y. (2011) Statistics of Geomagnetic Storms and Ionospheric Storms at Low and Mid Latitudes in Two Solar Cycles. Journal of Geophysical Research: Space Physics, 116, A11328.[CrossRef
[36] Oloruntola, R.F., Ogundele, A.K., Akinfoyeku, A. and Shittu, M.A. (2019) Ionospheric Reponse to Intense Geomagnetic Storms and Pre-Storm. International Research Journal of Applied Sciences, 2, 1-11.
[37] Guibula, K., Zerbo, J.L., Kaboré, M. and Ouattara, F. (2019) Critical Frequency foF2 Variations at Korhogo Station from 1992 to 2001 Prediction with IRI-2012. International Journal of Geophysics, 2019, Article ID: 2792101.[CrossRef
[38] Gonzalez, W.D., Joselyn, J.A., Kamide, Y., Kroehl, H.W., Rostoker, G., Tsurutani, B.T., et al. (1994) What Is a Geomagnetic Storm? Journal of Geophysical Research: Space Physics, 99, 5771-5792.[CrossRef
[39] Loewe, C.A. and Prölss, G.W. (1997) Classification and Mean Behavior of Magnetic Storms. Journal of Geophysical Research: Space Physics, 102, 14209-14213.[CrossRef
[40] Farley, D.T., Bonelli, E., Fejer, B.G. and Larsen, M.F. (1986) The Prereversal Enhancement of the Zonal Electric Field in the Equatorial Ionosphere. Journal of Geophysical Research: Space Physics, 91, 13723-13728.[CrossRef
[41] Abdu, M.A., Kherani, E.A., Batista, I.S. and Sobral, J.H.A. (2009) Equatorial Evening Prereversal Vertical Drift and Spread F Suppression by Disturbance Penetration Electric Fields. Geophysical Research Letters, 36, L191103.[CrossRef
[42] Eccles, J.V., St. Maurice, J.P. and Schunk, R.W. (2015) Mechanisms Underlying the Prereversal Enhancement of the Vertical Plasma Drift in the Low-Latitude Ionosphere. Journal of Geophysical Research: Space Physics, 120, 4950-4970.[CrossRef
[43] Vassal, J.A. (1982), Electrojet, contre électrojet et région F à Sarh (Tchad), Géophysique. ORSTOM.
[44] Abdu, M.A., Batista, I.S., Walker, G.O., Sobral, J.H.A., Trivedi, N.B. and de Paula, E.R. (1995) Equatorial Ionospheric Electric Fields during Magnetospheric Disturbances: Local Time/Longitude Dependences from Recent EITS Campaigns. Journal of Atmospheric and Terrestrial Physics, 57, 1065-1083.[CrossRef
[45] Abdu, M.A. (2012) Equatorial Spread F/Plasma Bubble Irregularities under Storm Time Disturbance Electric Fields. Journal of Atmospheric and Solar-Terrestrial Physics, 75, 44-56.[CrossRef
[46] Kikuchi, T., Hashimoto, K.K. and Nozaki, K. (2008) Penetration of Magnetospheric Electric Fields to the Equator during a Geomagnetic Storm. Journal of Geophysical Research: Space Physics, 113, A06214.[CrossRef
[47] Scherliess, L. and Fejer, B.G. (1997) Storm Time Dependence of Equatorial Disturbance Dynamo Zonal Electric Fields. Journal of Geophysical Research: Space Physics, 102, 24037-24046.[CrossRef
[48] Richmond, A.D., Peymirat, C. and Roble, R.G. (2003) Long-Lasting Disturbances in the Equatorial Ionospheric Electric Field Simulated with a Coupled Magnetosphere‐Ionosphere-Thermosphere Model. Journal of Geophysical Research: Space Physics, 108, Article 1118.[CrossRef
[49] Kikuchi, T. and Hashimoto, K.K. (2016) Transmission of the Electric Fields to the Low Latitude Ionosphere in the Magnetosphere-Ionosphere Current Circuit. Geoscience Letters, 3, Article No. 4.[CrossRef
[50] Huang, C.-S., Sazykin, S., Chau, J.L., Maruyama, N. and Kelley, M.C. (2007) Penetration Electric Fields: Efficiency and Characteristic Time Scale. Journal of Atmospheric and Solar-Terrestrial Physics, 69, 1135-1146.[CrossRef
[51] Yamazaki, Y. and Kosch, M.J. (2015) The Equatorial Electrojet during Geomagnetic Storms and Substorms. Journal of Geophysical Research: Space Physics, 120, 2276-2287.[CrossRef
[52] Maruyama, N., Richmond, A.D., Fuller-Rowell, T.J., Codrescu, M.V., Sazykin, S., Toffoletto, F.R., et al. (2005) Interaction between Direct Penetration and Disturbance Dynamo Electric Fields in the Storm-Time Equatorial Ionosphere. Geophysical Research Letters, 32, L17105.[CrossRef
[53] Astafyeva, E. (2009) Effects of Strong IMF Bz Southward Events on the Equatorial and Mid-Latitude Ionosphere. Annales Geophysicae, 27, 1175-1187.[CrossRef
[54] Astafyeva, E.I. (2009) Dayside Ionospheric Uplift during Strong Geomagnetic Storms as Detected by the CHAMP, SAC-C, TOPEX and Jason-1 Satellites. Advances in Space Research, 43, 1749-1756.[CrossRef
[55] Tsurutani, B., Mannucci, A., Lijima, B., Ali Abdu, M., Sobral, J.H.A., Gonzalez, W., et al. (2004) Global Dayside Ionospheric Uplift and Enhancement Associated with Interplanetary Electric Fields. Journal of Geophysical Research, 109, A08302.[CrossRef
[56] Abdu, M.A. (1997) Major Phenomena of the Equatorial Ionosphere-Thermosphere System under Disturbed Conditions. Journal of Atmospheric and Solar-Terrestrial Physics, 59, 1505-1519.[CrossRef
[57] Cander, L.R. and Mihajlovic, S.J. (2005) Ionospheric Spatial and Temporal Variations during the 29-31 October 2003 Storm. Journal of Atmospheric and Solar-Terrestrial Physics, 67, 1118-1128.[CrossRef

Copyright © 2026 by authors and Scientific Research Publishing Inc.

Creative Commons License

This work and the related PDF file are licensed under a Creative Commons Attribution 4.0 International License.