Some Important Features of Relativistic Charged Particles Produced in 32S-Emulsion Interactions at 200 AGeV/c

Abstract

An attempt has been made to study the multiplicity, angular and pseudo rapidity distributions of relativistic charged particles emerging from the interactions between sulphur and nuclear emulsion nuclei at 200 GeV/nucleon. The distributions from 200 AGeV are compared to the corresponding distributions from the predictions of Monte Carlo code FRITIOF samples. The pseudo rapidity distributions in different Nh-intervals translate to the target fragmentation region with increasing target mass. Finally, the scaling of multiplicity distributions of shower particles successfully describes the consequences of KNO scaling.

Share and Cite:

Rasool, M. , Ahmad, M. , Singh, O. and Ahmad, S. (2015) Some Important Features of Relativistic Charged Particles Produced in 32S-Emulsion Interactions at 200 AGeV/c. Journal of Modern Physics, 6, 1498-1509. doi: 10.4236/jmp.2015.611154.

1. Introduction

The advent of heavy ion beams at the CERN Super-proton Synchrotron (SPS) has opened a new field of ultrarelativistic heavy-ion collisions for systematic studies about the mechanism of particle production. The availability of heavy-ion beams at high energies has given an opportunity to detect the existence of new phase of hadronic matter, namely the Quark-Gluon-Plasma (QGP) [1] [2] in laboratory. It is important to achieve complete information regarding the mechanism of particle production in nucleus-nucleus collisions. When an energetic projectile collides with targets of nuclear emulsion, a number of charged and uncharged particles are produced. The emergence of these particles occurs in a very short time and after this the nucleus remains excited for quite a long time on nuclear scale. The nucleus then de-excites resulting in the emission of a large number of nucleons and other heavy fragments. The relativistic shower particles which are produced in the first stage of the collisions having specific ionization g*(=g/go) < 1.4 and relative velocity β > 0.7 are considered to be most important parameter to understand the collision dynamics. The number of such tracks in an event is represented by “NS”. Shower tracks producing particles are mostly pions, with small admixture of charged K-mesons and fast protons. The multiplicity of relativistic charged particles in high energy nucleus-nucleus interactions is an important parameter which indicates how many particles are produced in that interaction. The multiplicity distributions of produced particles or emitted particles help in learning the interaction mechanism.

The experimental results have been compared with the data generated with the computer code FRITIOF based on Lund Monte Carlo Model [3] [4] for high energy nucleus-nucleus collisions. The modified FRITIOF code used in present work is based on version 1.6 (10 June 1986) of authors B Nilsson-Almquist and Evert Stenlund, University of Lund, Lund, Sweden [3] [4] . The modification was carried out by V. V. Uzhinskii, LIT, JINR, Dubna, Russia in 1995. A sample of 5000 32S-emulsion events has been generated using the code, where the proportional abundance of different categories of target nuclei present in the emulsion material has been taken into account. Short-lived particles are assumed to decay at the vertex, whereas Kº and Λ are assumed to decay outside the observed region.

In this paper, special attention has been paid to different characteristics of relativistic charged shower particles that are produced in the interactions of 32S projectile with the target nuclei in nuclear emulsion at 200 AGeV. Multiplicity distributions, correlations among various secondaries and pseudo rapidity distributions of relativistic shower particles have been discussed in detail. The experimental distributions are compared with corresponding distributions calculated from the FRITIOF model. The multiplicity scaling of these shower particles is also investigated in the framework of the KNO-scaling. A simple universal function has been used to represent the KNO-scaling at different energies.

2. Experimental Techniques

In this experiment two stacks of Ilford G5 nuclear emulsion plates exposed horizontally to a 32S-beam at 200 AGeV from Super-proton Synchrotron (SPS) at CERN have been utilized for data collection. The scanning of the plates is performed with the help of Leica DM2500M microscope with a 10× objective and 10× ocular lens provided with semi-automatic scanning stages. The method of line scanning was used to collect the inelastic 32S-Em interactions. The interactions collected from line scanning were scrutinized under an optical microscope (Semi-Automatic Computerized, Leica DM6000M) with a total magnification of 10 * 100 using 10× eyepiece and 100× oil immersion objective. The measuring system associated with it has 1 μm resolution along X and Y axes and 0.5 μm resolution along the Z-axis.

The tracks associated with the interactions are classified in accordance with their ionization, range and velocity [5] [6] . The tracks having specific ionization g*(=g/go) < 1.4 and relative velocity β > 0.7 are taken as shower tracks, where go is the Fowler and Perkins parameter for plateau ionization of relativistic particles. The number of such tracks in an event is represented by “NS”. Shower tracks producing particles are mostly pions, with small admixture of charged K-mesons and fast protons. The secondary tracks having specific ionization in the interval 1.4 < g* £ 10 are known as grey tracks. The number of such tracks in a star is designated by “Ng”. This corresponds to protons with velocity in the interval 0.3 £ β £ 0.7 and range ³ 3.0 mm in emulsion. The present work is based on these shower tracks only. Grey tracks are associated with the recoiling protons and have energy range (30 - 400) MeV. The sum of the number of grey and shower tracks in such an interaction is known as compound particle multiplicity and their number in a collision is represented by Nc = Ng + Ns. Black tracks are mainly the fragments emitted from excited target. The secondary tracks having specific ionization g* > 10 are classified as black tracks, which is represent by “Nb”. This corresponds to protons of relative velocity β < 0.3 having a range in emulsion R < 3.0 mm. The particles producing black tracks are mainly the fragments emitted from the excited target. This ionization corresponds to protons with energy range <30 MeV.

The black and grey tracks taken together are said to be heavily ionizing tracks. Thus these tracks correspond to g* ³ 1.4 or β £ 0.7. Their number in a star, Nh = (Nb + Ng) is a characteristics of the target. There is a limitation with nuclear emulsion that the exact identification of target is not possible since the medium of the emulsion is heterogeneous and composed of H, C, N, O, Ag and Br nuclei. The events produced due to the collisions with different targets in nuclear emulsion are usually classified into three main categories on the basis of the multiplicity of heavily ionizing tracks in it [7] [8] .

In the present work we have categorized the events on the bases of Nh multiplicity as: The events with Nh in range 2 £ Nh £ 7 are classified as collision with group of light nuclei (CNO, T> = 14) and N h ³ 8 are classified as collision with group of heavy nuclei (AgBr, T> = 94). And the events with all N h values are classified as collision with emulsion.

3. Results and Discussions

3.1. Multiplicity Distribution of Relativistic Shower Particles

The shower tracks produced in nucleus-nucleus collisions consists of tracks due to the particles created in the collisions and the projectile fragments of charge Z = 1. Thus for calculating the mean multiplicity of produced relativistic charged secondaries, the contribution of the singly charged fragments should be subtracted from the observed number of showers. But it is difficult to identify single charged projectile fragments. The method proposed by Chernov et al. [9] has been used in the present work.

It is interesting to compare our multiplicity distribution of relativistic shower particles with the predictions from the Lund model for high-energy nucleus-nucleus interactions. The Lund nucleus-nucleus model is a generalization of the Lund hadron scattering model [10] [11] . The basic feature of the model is a long formation time where all cascading is neglected. The model exists in a Monte Carlo version called FRITIOF [4] [5] .

The multiplicity distribution of relativistic shower particles produced in the interaction of 32S projectile with nuclear emulsion at 200 AGeV is shown in Figure 1(a) along with the FRITIOF generated data for 32S-Em at the same energy by the dotted lines. It is being observed from the figure that the experimental distribution shows a sharp peak whereas no such peak is observed in the FRITIOF data. Also the multiplicity distributions of relativistic shower particles produced in the interaction of 32S-AgBr and 32S-CNO along with the corresponding FRITIOF generated data shown by dotted lines have been presented in Figure 1(b) and Figure 1(c). From the results in Figure 1 it is clearly seen that the FRITIOF simulations cannot well reproduce the experimental results, especially for the results of 32S-Em collisions. The shape of the experimental distribution in this case cannot be described by the model. The events in case of 32S-Em and 32S-AgBr interactions are distributed over much larger values of Ns in comparison to 32S-CNO interactions.

(a) (b) (c)

Figure 1. Multiplicity distributions of relativistic charged shower particles in (a) 32S-Em (b) 32S-AgBr and (c) 32S-CNO at 200 AGeV/c along with FRITIOF data.

The mean multiplicities of the relativistic shower particles produced by different projectiles at different energies [9] [12] - [15] are given in Table 1 along with the present data and the corresponding FRITIOF data. It has been found from the table that the mean multiplicity of relativistic shower particles increases with increasing projectile mass and energy. It has been found from the table that as the target size increases the multiplicity of shower particles increases. It has also been found from the table that the experimental data are not comparable with the FRITIOF data. However, the mean multiplicities of shower particles of the generated FRITIOF data are smaller for 32S-CNO and 32S-Em interactions than the corresponding experimental data, whereas it is larger in case of 32S-AgBr interactions.

3.2. Multiplicity Correlations

Multiplicity correlations among the secondary charged particles produced in hadron-nucleus and nucleus-nucleus collisions have been widely studied which help to investigate the mechanism of particle production. According to the existing representation, shower particles characterize the first stage of the inelastic collision

between the two nuclei. Multiplicity correlations of the type have been extensively studied and the following linear relationship has been found:

(1)

where Nj = Ng, Nb, Nh, and Nch with i ≠ j. The values of Aij and Bij depend on the incident energy and mass of the projectile. Also, Nch is the total charged secondary particles given as: Nch = Nb + Ng + Ns.

The multiplicity correlations among various secondary particles produced in 32S-Em interactions at 200 AGeV have been studied and are shown in Figure 2 along with the linear fits which exhibit linear relations. The values of inclination coefficients have been found which are given in Table 2.

Figure 2. Multiplicity correlations among various secondaries in 32S-Em collisions at 200 AGeV/c.

Table 1. Mean multiplicities of relativistic shower particles produced in heavy ion collisions at high energies along with the FRITIOF data given in parenthesis.

Table 2. Values of inclination coefficients.

3.3. Angular Distributions

The angular distributions of relativistic shower particles produced in the collisions of 32S-Em at 200 A GeV along with the data obtained by other workers [16] - [18] at 14.6 and 4.5A GeV in the interactions of 28Si-Em, 12C-Em, a-Em and P-Em respectively are shown in Figure 3. It may be noticed from the graph that the angular distributions of relativistic hadrons are almost similar and prominent peaks are observed at smaller emission angles. The angular distributions of shower particles having θ ≤ 8º for our data have been plotted in the Figure 4. It may easily be seen from the figure that prominent peaks are observed at very small angles, which may be attributed to the well known phenomenon of proton stripping, superimposed over the uniform distributions. The detailed discussion regarding the contributions of singly charged projectile fragments and truly created relativistic charged secondaries may be found elsewhere [19] . We may also get an indication of limiting fragmentation hypothesis. In addition to this the front (θs < 90) to back (θs > 90) ratio for charged relativistic shower particles have been calculated and shown in Table 3. A strong dependence of the F/B ratio in case of relativistic shower particles gives an indication that these are closely associated with the projectile nucleons, whereas a weak dependence of F/B ratio on the mass of the projectile is observed in the distributions of target fragments [16] - [18] .

3.4. Pseudo Rapidity Distributions

One of the fundamental experimental distributions in high energy heavy-ion collisions is the pseudo rapidity distributions of produced shower particles. The pseudo rapidity, η, of a particle is defined as,

Figure 3. Angular distributions of relativistic shower particles produced at various energies.

Figure 4. Angular distributions of relativistic shower particles having θ ≤ 8˚ for our data.

Table 3. Values of F/B ratio.

where θs is the space angle of produced particles with respect to primary direction of the incident beam. The pseudo rapidity distributions of relativistic charged particles emitted in 32S-Em interactions at 200 AGeV is shown in Figure 5. Also the results obtained from the interactions of 28Si-Em at 14.6 and 4.5 AGeV and 12C-Em at 4.5 along with P-Em at 4.5 AGeV [14] [15] [20] [21] respectively have been shown for the comparison. It has been found that the η distributions for each case, in the region of smaller values of η and are found to be independent of the mass of the incident beam, whereas weak energy dependence has been found in this region. It has also been found that the distribution is broader for higher mass as well as beam energy. The height of the centroid increases many times in case of nucleus-nucleus collisions with respect to the proton-nucleus collisions [21] .

The variations of probability distributions of relativistic charged shower particles produced per unit rapidity, , with pseudo rapidity, η, have been shown in Figure 6 for the collisions of 32S-Em at 200 AGeV along with interactions [14] [16] [17] of 28Si-Em at 14.6A GeV 28Si-Em, 12C-Em and 16O-Em at 3.7, 60 and 200 AGeV respectively. The distributions are normalized for total number of hadrons produced in each sample. From this figure one may notice that the distributions are almost completely scaled for the entire region of η except for large η-values where a mild projectile dependence is seen.

Figure 5. Pseudorapidity distributions of relativistic charged particles produced at various energies.

Figure 6. Variation of probability distribution of hadrons produced in various interactions at high energies.

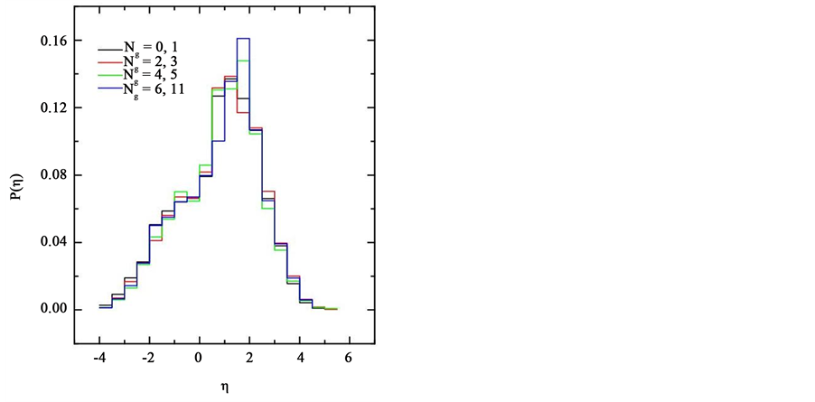
The pseudo rapidity distribution of relativistic shower particles in different Ng intervals is shown in Figure 7. It is revealed from the figure that the height of η distributions increases with higher values of Ng. From the figure one may notice that the distributions are completely scaled for the entire regions of η for all Ng intervals. It may further be noticed that the position and height of the centroid remains almost the same in all cases. It is also inferred that the central region is believed to be enriched by the particles produced in the collisions of the participant nuclei and is independent of either of fragmentation regions (i.e. projectile and target fragmentation regions).

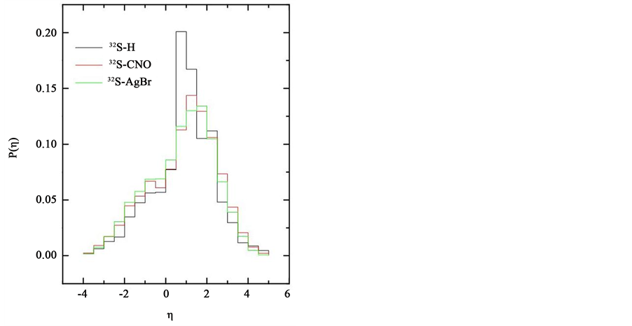
In order to study the dependence of η-distribution for the same sample of the data on different Nh-bins pertaining to different target nuclei involved in the collisions, we have divided the data based on Nh-intervals as: 1) Nh = 0, 1 (H) 2) 2 ≤ Nh ≤ 7 (CNO) and 3) Nh ≥ 8 (AgBr). Figure 8 shows the η-distribution in different Nh-in-

Figure 7. Pseudorapidity distributions of relativistic charged particles produced in 32S-Em interactions in different Ng intervals.

Figure 8. Pseudorapidity distributions of relativistic charged particles pro- duced by 32S projectile with different emulsion targets.

tervals. A common feature observed in these figures is that the distributions translate to the target fragmentation region (smaller η) with increasing target mass. Thus, one may conclude that the mechanism responsible for the particle production is essentially similar in these interactions, only the mean angle of production that is the centroid of the distribution is shifted to the larger emission angles for heavy targets.

3.5. KNO Scaling

Asymptotic scaling of multiplicity distributions in hadron collisions was predicted in 1971 by Koba, Nielsen and Olesen [22] by assuming the validity of Feynman scaling [23] . Koba, Nielsen and Olesen have predicted that the multiplicity distributions of the produced particles in high-energy hadron-hadron collisions should obey a simple scaling law known as KNO scaling when expressed in terms of the scaling variable Z. If Pn(s) represents the probability for the production of n charged particles in an inelastic hadron-hadron collision at a centre of mass energy, then the multiplicity distributions in high energy collision obey a scaling law:

(2)

where sn(s) is the partial cross-section for the production of n charged particles, sinel is the total inelastic cross- section and is the average number of charged particles produced. The KNO scaling thus implies that the multiplicity distribution is universal and is an energy independent function at sufficiently high energies when expressed in terms of scaling variable Z.

It has been found by various workers that the empirical expression for ψ(z) in hadron-hadron and hadron- nucleus interactions obeys the semi-inclusive KNO scaling starting from few GeV. It is desirable to make similar studies in nucleus-nucleus collisions as it is expected that nucleus-nucleus collisions (A-A) at these energies can be visualized as superposition of nucleon-nucleon collisions. In the present work an attempt has been made to study the KNO scaling for the multiplicity distribution of relativistic shower particles produced in 32S-emul- sion collisions at 200 AGeV. A plot of ψ(z) as a function of the scaling variable Z for these relativistic charged particles is shown in Figure 9. The experimental points for 12C and 28Si at 4.5 AGeV, 28Si at 14.6A GeV and 16O at 3.7 AGeV and 60 AGeV [14] [17] [24] [25] respectively are also shown in the same figure. The solid curve in the figure is well represented by Equation (3).

It has been shown [26] [27] that the multiplicity distributions of produced shower particles obtained from the events of different projectiles over a wide range of energies in nucleus-nucleus collisions can be described by a KNO scaling law. These distributions can be represented by a universal function of the following form:

Figure 9. Shower particle multiplicity distribution in terms of KNO scaling in various interactions at different energies.

(3)

where A and B are constants.

It is easily noticed from the figures that the multiplicity distributions of relativistic shower particles in nucleus-nucleus collisions at different energies are well described by Equation (3) for the different projectiles and seem to satisfy the scaling function. The best values of A and B used in Equation (3) are found to be 8.73 ± 1.40 and 2.35 ± 0.07 respectively. The values of corresponding c2/DOF are found to be 0.32 which indicates that the fitting is good for different projectiles at different energies in case of relativistic shower particles and seems to confirm the validity of the universal scaling function. Further, it is investigated that the scaling violations are small and data exhibit KNO scaling within experimental errors.

To test the validity of KNO scaling, the normalized moments, Ck, of multiplicity distributions is defined as:

(4)

where,.

The values of Ck-moments for k = 2 and 3 of shower particles produced in the interactions of 28Si, 24Mg, and 12C ions in emulsion at various energies are presented in Table 4. It is clear that the values of C2 and C3-mo- ments are found to be independent of masses and energy of the projectiles within the experimental errors. The other consequence of the KNO scaling predicts that the central moments of the distribution is defined as:

. The distribution should have a linear relation with the average multiplicity, of the reaction, which leads to a generalization of a linear relation between the dispersion, D(NS), and the average values of. The linear variation of D(NS) of shower particles as a function of

is illustrated in Figure 10 for present work along with the other results [9] [13] [16] [18] [28] . The best linear fit is represented by:

(5)

The value of the slope is similar in case of proton-nucleus interactions reported by Gurtu et al. [29] . The values of for our data along-with other results are also given in Table 4. An interesting observation can be seen from the table that the values of for different projectiles and targets are approximately equal to

Figure 10. Variation of dispersion D(Ns) as a function of at various energies.

Table 4. Values of, D(NS), and the normalized moments for shower particles produced in various collisions.

that observed in hadron-nucleus interactions [29] . This feature may indicate that essentially there is a similarity for the production mechanism of two types of collisions. Furthermore, the agreement between hadron-nucleus and nucleus-nucleus collisions results suggests that A-A collisions can be explained as the superposition of many nucleon-nucleon (N-N) interactions, which is predicted by superposition models [30] .

4. Conclusion

In summary, the predictions of FRITIOF model have been found in good agreement with the experimental data for 32S-AgBr and 32S-CNO interactions. However, it deviates from the experimental data in case of 32S-Em interactions. The mean multiplicities of relativistic shower particles have been found to increase with increasing projectile mass and energy. The experimental values are less comparable with the FRITIOF data. The multiplicity correlations among various secondary particles have been found to show linear relations. In the angular distributions of relativistic hadrons the prominent peaks are observed at smaller angles. The study of the η-distri- bution in different Nh-intervals reveals that the mechanism responsible for particle production is essentially similar in these interactions, only the centroid of the distribution is shifted to the larger emission angles for heavy targets. Finally, the scaling of multiplicity distributions of relativistic shower particles is observed to obey KNO scaling law.

Acknowledgements

We would like to express our thanks to Professor P. L. Jain of SUNY at Buffalo, USA for providing the exposed and developed emulsion plates for the present analysis.

NOTES

*Corresponding author.

Conflicts of Interest

The authors declare no conflicts of interest.

References

[1] Kapusta, J. (1979) Nuclear Physics B, 148, 461.
http://dx.doi.org/10.1016/0550-3213(79)90146-9
[2] Kajantie, K. and Raitio, R. (1983) Physics Letters B, 121, 415.
http://dx.doi.org/10.1016/0370-2693(83)91189-9
[3] Andersson, B., Gustafson, G. and Nilsson-Almqvist, B. (1987) Nuclear Physics B, 281, 289.
http://dx.doi.org/10.1016/0550-3213(87)90257-4
[4] Nilson-Almquist, B. and Stenlund, E. (1987) Computer Physics Communications, 43, 387.
http://dx.doi.org/10.1016/0010-4655(87)90056-7
[5] Bradt, H.L. and Peters, B. (1948) Physical Review, 74, 1828-1839.
http://dx.doi.org/10.1103/PhysRev.74.1828
[6] Barashenkov, V.S., et al. (1959) Nuclear Physics, 14, 522-539.
http://dx.doi.org/10.1016/0029-5582(60)90471-5
[7] Powell, C.F., Flower, P.H. and Perkins, D.H. (1959) The Study of Elementary Particles by Photographic Method. Pargamon Press, London.
[8] Jokobsson, B. and Kullberg, R. (1976) Physica Scripta, 13, 327-333.
http://dx.doi.org/10.1088/0031-8949/13/6/002
[9] Chernov, G.M., et al. (1984) Nuclear Physics A, 412, 534-550.
http://dx.doi.org/10.1016/0375-9474(84)90535-9
[10] Andersson, B., et al. (1983) Physics Reports, 97, 31.
http://dx.doi.org/10.1016/0370-1573(83)90080-7
[11] Sjostrand, T. (1986) Computer Physics Communications, 39, 347-407.
http://dx.doi.org/10.1016/0010-4655(86)90096-2
[12] Antonchik, V.A., et al. (1980) Soviet Journal of Nuclear Physics, 32, 164-172.
[13] Bannik, B.P., Vokál, S., Leskin, V.A., Tolstov, K.D., Sumbera, M., Bubnov, V.I., et al. (1981) Czechoslovak Journal of Physics, 31, 490-498.
http://dx.doi.org/10.1007/BF01596415
[14] Ahmad, M.A., Rasool, M.H. and Ahmad, S. (2012) International Journal of Theoretical and Applied Physics, 2, 199-220.
[15] Jain, P.L., Sengupta, K. and Singh, G. (1991) Physical Review C, 44, 844-856.
http://dx.doi.org/10.1103/PhysRevC.44.844
[16] Ahmad, M.A. and Ahmad, S. (2012) Ukrainian Journal of Physics, 57, 1205-1213.
[17] Tariq, M. (1993) Some Characteristics of Projectile Fragments Produced in Interactions of Carbon and Silicon at 4.5 AGeV/c in Nuclear Emulsions. Ph.D. Thesis, Physics Department Aligarh Muslim University, Aligarh.
[18] Dabrowska, A., Holyński, R., Olszewski, A., Szarska, M., Trzupek, A., Wilczyńska, B., et al. (1993) Zeitschrift für Physik C Particles and Fields, 59, 399-403.
http://dx.doi.org/10.1007/BF01498620
[19] Tariq, M., Zafar, M., Tufail, A. and Ahmad, S. (1995) International Journal of Modern Physics E, 4, 347-370.
http://dx.doi.org/10.1142/S0218301395000109
[20] Zhang, D.-H., Zhao, H.-H., Liu, F., He, C.-L., Jia, H.-M., Li, X.-Q., et al. (2007) Chinese Physics, 16, 2689.
[21] Otterlund, I., Stenlund, E., Andersson, B., Nilsson, G., Adamovic, O., Juric, M., et al. (1978) Nuclear Physics B, 142, 445-462.
http://dx.doi.org/10.1016/0550-3213(78)90223-7
[22] Koba, Z., Nielsen, H.B. and Olesen, P. (1972) Nuclear Physics B, 40, 317-334.
http://dx.doi.org/10.1016/0550-3213(72)90551-2
[23] Feynman, R.P. (1969) Physical Review Letters, 23, 1415-1417.
http://dx.doi.org/10.1103/physrevlett.23.1415
[24] Liu, F.-H. (2003) Chinese Journal of Physics, 41, 486.
[25] El-Nadi, M., Sherif, M.M., Hegab, M.K., Hussien, A., Fakeha, A.A. and Jilany, M.A. (1995) Il Nuovo Cimento A, 108, 281-288.
http://dx.doi.org/10.1007/BF02787055
[26] Sherif, M.M., Hegab, M.K., Abdelsalam, A., El-Sharkawy, S.A. and Tawfik, A.M. (1993) International Journal of Modern Physics E, 2, 835-843.
http://dx.doi.org/10.1142/S0218301393000388
[27] Liu, F.-H. (2000) Physical Review C, 62, Article ID: 024613.
http://dx.doi.org/10.1103/PhysRevC.62.024613
[28] Ghosh, D., Mukhopadhyay, A., Ghosh, A., Sengupta, R. and Roy, J. (1989) Nuclear Physics A, 499, 850-860.
http://dx.doi.org/10.1016/0375-9474(89)90067-5
[29] Gurtu, A., Malhotra, P.K., Mittra, I.S., Sood, P.M., Gupta, S.C., Gupta, V.K., et al. (1974) Physics Letters B, 50, 391-395.
http://dx.doi.org/10.1016/0370-2693(74)90698-4
[30] Burnett, T.H., Dake, S., Fuki, M., Gregory, J.C., Hayashi, T., Holynski, R., et al. (1983) Physical Review Letters, 50, 2062-2065.
http://dx.doi.org/10.1103/PhysRevLett.50.2062

Copyright © 2025 by authors and Scientific Research Publishing Inc.

Creative Commons License

This work and the related PDF file are licensed under a Creative Commons Attribution 4.0 International License.