Mapping Properties of Generalized Robertson Functions under Certain Integral Operators ()
1. Introduction
Let
be the class of functions
of the form

which are analytic in the open unit disc
. We write
. A function
is said to be spiral-like if there exists a real number

such that

The class of all spiral-like functions was introduced by L. Spacek [1] in 1933 and we denote it by
. Later in 1969, Robertson [2] considered the class
of analytic functions in
for which
.
Let
be the class of functions
analytic in
with
and

where
,
and
is real with
.
For
,
, this class was introduced in [3] and for
, see [4]. For
,
and
, the class
reduces to the class
of functions
analytic in
with
and whose real part is positive.
We define the following classes


For
,
and
, we obtain the well known classes
and
of analytic functions with bounded radius and bounded boundary rotations studied by Tammi [5] and Paatero [6] respectively. For details see [7-12]. Also it can easily be seen that
and 
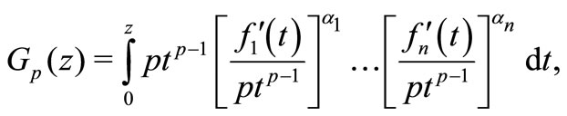
Let us consider the integral operators
(1.1)
and
(1.2)
where
and
for all
.
These operators, given by (1.1) and (1.2), are defined by Frasin [13]. If we take
, we obtain the integral operators
and
introduced and studied by Breaz and Breaz [14] and Breaz et al. [15], for details see also [16-20]. Also for
,
in (1.1), we obtain the integral operator studied in [21] given as

and for
,
,
in (1.2), we obtain the integral operator

discussed in [22,23].
In this paper, we investigate some propeties of the above integral operators
and
for the classes
and
respectively.
2. Main Result
Theorem 2.1. Let
for
with
. Also let
is real with
,
,
. If

then
with
(2.1)
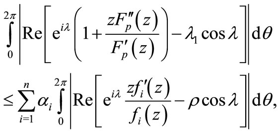
Proof. From (1.1), we have
(2.2)
or, equivalently
(2.3)
Subtracting and adding
on the right hand side of (2.3), we have
(2.4)
Taking real part of (2.4) and then simple computation gives
(2.5)
where
is given by (2.1). Since
for
, we have
(2.6)
Using (2.6) and (2.1) in (2.5), we obtain

Hence
with
is given by (2.1).
By setting
and
in Theorem 2.1, we obtain the following result proved in [9].
Corollory 2.2. Let
for
with
. Also let
,
. If

then
and
is given by (2.1).
Now if we take
and
in Theorem 2.1, we obtain the following result.
Corollory 2.3. Let
for
with
. Also let
,
. If

then
and
is given by (2.1).
Letting
,
,
and
in Theorem 2.1, we have.
Corollory 2.4. Let
with
. Also let
. If

then

with
.
Theorem 2.5. Let
for 
with
. Also let
is real is real with
,
,
. If

then
and
is given by (2.1).
Proof. From (1.2), we have

or, equivalently

This relation is equivalent to
(2.7)
Taking real part of (2.7) and then simple computation gives us
(2.8)
where
is given by (2.1). Since
for
, we have
(2.9)
Using (2.9) in (2.8), we obtain

Hence
with
is given by (2.1).
By setting
and
in Theorem 2.5, we obtain the following result.
Corollory 2.6. Let
for
with
. Also let
,
. If

then
with
is given by (2.1).
Letting
,
,
and
in Theorem 2.5, we have.
Corollory 2.7. Let
with
. Also let
. If
, then

with
.
NOTES