Research Progress of Geophysical Exploration on Goaf Areas in Shanxi Coal Mines

Abstract

Shanxi Province, a leading coal-producing region in northern China, holds abundant reserves of bituminous and sub-bituminous coal critical to the nation’s energy sector. However, extensive coal mining has left behind Goaf areas underground voids and fractured zones that pose serious safety hazards and environmental risks. These challenges require innovative approaches to ensure sustainable resource management and ecological protection. This work aims to enhance the exploration and management of Goaf areas using advanced geophysical technologies, such as seismic, electrical resistivity tomography, magnetic, and gravity surveys, to identify subsurface fractures and voids. Cutting-edge tools like the full-waveform airborne electromagnetic system and machine learning techniques improve the accuracy and efficiency of these investigations. The focus is on estimating storage capacity, constructing stable coal pillars, and monitoring water quality to mitigate risks. By integrating environmental and economic feasibility studies, this research seeks to balance coal industry growth with ecological stewardship, fostering a safer and more sustainable future.

Share and Cite:

Jojo, J.M., Rene, N.N., Teah, N.S., Wang, P.F. and Tian, X.T. (2025) Research Progress of Geophysical Exploration on Goaf Areas in Shanxi Coal Mines. Open Access Library Journal, 12, 1-24. doi: 10.4236/oalib.1112827.

1. Introduction

Geophysical exploration in mined-out areas or Goafs is an essential aspect of modern mining, especially in Shanxi Province, a significant coal-producing region in China. Goaf areas present substantial risks, including surface subsidence and structural damage to nearby infrastructure, such as buildings, roads, and railways, due to extensive coal mining [1]. Understanding the distribution and conditions within these areas is critical for ensuring mining safety and mitigating environmental impacts. Consequently, advancements in geophysical prospecting techniques have become a focal point of research and development [2]. Recent trends emphasize the application of comprehensive prospecting methods to enhance the accuracy of Goaf exploration. Techniques such as the transient electromagnetic method (TEM) and controlled source audio-frequency magnetotellurics (CSAMT) have shown promise in mapping mined-out areas and detecting water accumulation within coal mines [3]. Additionally, unmanned aerial vehicle (UAV) surveys provide high-resolution, three-dimensional models, enabling real-time visualization of mining environments [4]. The integration of ultra-shallow and high-drop geophysical methods offers a more robust approach to identifying and mitigating potential hazards in Goaf areas [5]. To further advance this field, it is crucial to improve the precision and reliability of data acquisition and processing methods. Enhanced geophysical models can yield more accurate representations of subsurface conditions, thus aiding in the development of effective safety measures [6]. Furthermore, integrating geophysical exploration with remote sensing, seismic monitoring, and numerical modeling provides a more comprehensive understanding of Goaf behaviour and potential hazards [7]. Emerging technologies such as artificial intelligence and machine learning offer additional opportunities to analyse large datasets and improve predictive accuracy. The significance of geophysical exploration is underscored by fluctuations in Shanxi Province’s primary energy production. As shown in Figure 1, from 2011 to 2016, production declined, followed by an upward trend from 2017 to 2020, with recent contributions accounting for approximately 20% of China’s total energy output [8]. As mining continues to evolve, the integration of advanced geophysical methods will be essential for ensuring sustainable and safe mining practices.

Figure 1. (A) Literature Road map; (B) The primary energy production of Shanxi in recent years and its proportion of China’s total [8].

2. Advancements and Current Status of Geophysical Exploration Techniques in Goaf Areas

Goaf areas pose significant safety challenges, including subsidence, roof falls, and rock bursts, making their monitoring essential for safe operations. These risks not only threaten the safety of personnel but also compromise the integrity of infrastructure, equipment, and adjacent mining areas. Consequently, continuous monitoring using advanced geophysical techniques such as seismic reflection, ground-penetrating radar (GPR), and microseismic monitoring is critical. These methods provide real-time data on structural changes, enabling early detection of potential hazards [6]. In Shanxi coal mine Goafs, geophysical exploration plays a crucial role in delineating the boundaries of Goaf zones, assessing the stability of surrounding rock masses, and identifying critical stress points that could lead to collapses. Detecting gas accumulation is particularly vital, as the build-up of methane or other hazardous gases can result in explosive incidents if left unchecked. By accurately predicting subsidence patterns, mining operations can implement preventative measures to mitigate surface deformation, reducing damage to surface structures and minimizing environmental impact. The integration of these monitoring efforts into disaster prevention frameworks has led to the identification and categorization of effective techniques. These include the strategic placement of ventilation systems to disperse gas, the design of support systems to stabilize roofs, and the use of numerical modeling to simulate stress distribution and predict failure points. The effectiveness of these methods has been demonstrated through quantitative analyses of case studies, providing valuable insights into the dynamic behaviour of Goaf areas under various geological conditions. Collectively, these efforts enhance mining safety, promote sustainable resource utilization, and contribute to environmental protection, making them indispensable in modern mining operations [9].

Figure 2. China’s coal output hits records in 2023; Sources: National Bureau of Statistics.

Despite ambitious long-term climate goals to peak carbon emissions by 2030 and achieve carbon neutrality by 2060, along with the rapid development of renewable energy sources, coal remains the primary fuel ensuring China’s energy supply as shown in Figure 2 [10].

2.1. Geological Characteristics of Shanxi Coal Mines

Shanxi coal mines, located in the core of China’s coal-producing area, have distinct characteristics caused by a complex interaction of depositional processes, tectonic activity, and environmental changes over geological time. This province is well-known for its considerable coal resources, and investigating the geological characteristics of Shanxi’s coal mines sheds light on the region’s rich coal-bearing formations [11]. Primarily located in sedimentary basins in the center region of the northern China craton. The geological history region is characterized by substantial sedimentation during the Carboniferous and Permian periods, culminating in the formation of coal-bearing strata. These sedimentary rocks, contain lucrative coal seams and are crucial to the province’s mining sector. The early Permian Shanxi formation coals from the Weibei Carboniferous-Permian (C-P) Coalfield consist primarily of kaolinite (47.9%), calcite (17.3%), tobelite (18.2%), and ankerite (10.1%), with minor amounts of apatite and quartz. The Shanbei C-P Coalfield’s early Permian Shanxi Formation coals are mostly made up of kaolinite (88.9%), with modest amounts of calcite (8.8%) and apatite (2.5%). Coal characteristics, such as calorific value, ash level, and sulfur concentration, can vary dramatically among seams and places around the province. This geological complexity presents both obstacles and opportunities for the mining sector, necessitating extensive research and assessment to maximize extraction procedures and resource exploitation [12].

2.2. Coal Seams Conditions in Shanxi Coal Mines

Shanxi’s coal seams were predominantly formed during the Carboniferous and Permian periods, characterized by extensive marshy environments conducive to the accumulation of organic material, later transformed into coal. The remnants of ancient peat bogs and wetlands played a critical role in the coalification process. The carboniferous and permian formations produced diverse coal types with varying energy content, ash content, and chemical properties, making them suitable for various industrial applications. The coal seams differ in thickness and geological arrangement due to layered sedimentation during these periods, with each seam representing distinct geological epochs. Understanding these variations is vital for evaluating coal reserves and optimizing mining strategies [13]. Geological exploration techniques such as seismic surveys, borehole drilling, and advanced imaging technologies are extensively employed to map Shanxi’s subsurface geology and characterize coal seam properties, including metamorphic stages. This ongoing research enhances knowledge of Shanxi’s coal resources and supports efficient resource management. In 2021, Shanxi’s raw coal production reached a record 1.193 billion tons, accounting for 29.31% of China’s total production and marking a 10.5% year-on-year increase. With an estimated 270.901 billion tons of coal reserves, Shanxi maintains its position as the country’s largest coal-producing province, underpinning its robust coal industry [14].

2.3. Distribution of Closed or Abandoned Mines in Shanxi

Shanxi Province contains the biggest coal resources in China, as well as the highest quality and a diverse range of coal kinds, from low metamorphic lignite and long-flame coal to high metamorphic poor coal and anthracite, which cover the entire metamorphism process. According to data from the Shanxi Bureau of Statistics, Shanxi’s raw coal production surpassed 1 billion tons in 2021, reaching an all-time high of 1.193 billion tons, accounting for 29.31% of total raw coal production in the country, an increase of 10.5% year on year, cementing its position as the country’s leading domestic coal province. Robust resource reserves are the primary foundation for the development of Shanxi’s coal sector as shown in Table 1, which today has the country’s largest coal reserves at 270.901 billion tons [15] [16].

Table 1. The numbers and production capacity levels of closed coal mines in different areas of Shanxi since 2016 [17] [18].

City

Number of Closed

MinesCoal

Exiting Capacity (Million Tons)

Mining Areas

Datong

19

15.85

Datong, Guangling

Shuozhou

6

9.71

Pingshou

Xinzhou

15

11.95

Xuangang, Hebaopian, Lanxian

Taiyuan

15

9.59

Wutai

Jinzhong

3

0.84

Xishan, Dongshan

Liliang

7

6

Liuiliu, Fenxi, Xishan, Hebaoquan

Yangquan

11

10.85

Yangquan

Linfen

27

18

Fenxi, Houzhou, Huodong

Yuncheng

4

16.5

Xiangning, Wuanqu, Pinglu

Changzhi

11

5.70

Huodong, Wuxia, Lu’an

Jingcheng

20

18.75

Jincheng

The region has faced difficulties such as environmental concerns, resource depletion, and efforts to transition to greener energy sources as highlighted in Table 1. Shanxi’s closed or abandoned mines represent the industry’s history and shifting energy production dynamics. The location of these mines varies around the province, based on geological factors, economic considerations, and government policies. Local governments and mining authorities play critical roles in monitoring and regulating these facilities. In recent years, China has seen a determined effort to address environmental problems and promote sustainable growth. This has led to increased scrutiny of mining activities, including efforts to regulate, close, or repurpose mines that no longer meet modern environmental standards [19] [20].

2.4. Challenges and Risks Associated with Goaf Areas

The most significant risk is ground subsidence, as coal or minerals are removed, the Goaf areas may collapse, creating surface subsidence that may damage infrastructure, houses, or the environment. Goaf regions can emit toxic gases such as methane and carbon dioxide, which are explosive and can endanger miners’ health. Adequate ventilation and gas monitoring are critical. Three actions are well interpreted in Figure 3 where we can observe how to focus on reducing errors on site causing drastic human loss through the years [21]-[23].

Figure 3. Overview of China’s coal mine production safety situation in latest 10 years [24].

During 2001 and 2010, the number of accidents and deaths reached a peak in 2002 and then gradually dropped. In 2006, the number of accidents and deaths fell below 3000 and 5000, respectively, for the first time. Between 2001 and 2010, the death rate per million tons decreased by an average of 18.6% per year. In 2009, the statistic fell below one for the first time. Overall, China’s coal production safety status is improving [25].

3. Geophysical Methods and Technology for Goaf Exploration

3.1. Ground Penetrating Radar (GPR)

GPR is one of the geophysical methods that uses electromagnetic waves to detect subsurface features and can be used to image the structure of Goaf areas. GPR is particularly effective in detecting shallow voids and fractures and can be used to map the depth and location of underground structures. However, GPR surveys can be limited by the presence of high-conductivity materials, such as water, and may be less effective at deeper depths [26]-[28]. Xu et al. describe in detail the GPR system for large-depth disaster detection in mines, which has the large-depth detection ability and the explosion-proof capability to adapt to the mine working environment [29].

According to Figure 4, which illustrates the architecture of the Ground Penetrating Radar (GPR) system, GPR operates by transmitting high-frequency electromagnetic waves through a transmitting antenna. These waves penetrate the subsurface, and any change in material properties, such as permittivity, reflects part of the signal back to the surface. A receiving antenna captures these reflected signals, which are processed and displayed on a computer as a radargram. The

Figure 4. Structure diagram of the mine ground penetrating radar system [29] edited.

control module generates the trigger signal Br1, initiating the transmission, while optical fiber carries the high-frequency synchronization signal Br1 to the receiving subsystem. The system’s core components transmitter, antennas, and control unit work together to detect subsurface variations. The time taken for the reflected waves to return indicates the depth and location of subsurface features. Factors such as target depth, geological conditions, and available resources influence the effectiveness of GPR in Goaf exploration, a key focus in ongoing geophysical research.

3.2. Electrical Resistivity Tomography (ERT)

A geophysical imaging method called Electrical Resistivity Tomography (ERT) is used to look into the electrical characteristics of the Earth’s subsurface. It offers useful knowledge regarding the distribution of electrical resistivity, a parameter that indicates how readily a substance conducts electrical current as shown in Figure 5 [30]-[32]. ERT involves injecting electrical current into the ground through electrode pairs and measuring the resulting potential difference. By systematically varying electrode configurations and recording the corresponding data, multiple resistivity profiles are generated. These profiles are combined to produce detailed 2D or 3D subsurface models, aiding in the detection of hidden structures and anomalies. This geophysical technique has diverse applications across multiple fields.

In environmental studies, ERT identifies groundwater contamination, tracks pollutant migration, and maps subsurface geology, contributing to effective environmental management. In civil engineering, it evaluates foundation stability, detects sinkholes, and locates buried utilities, ensuring construction safety. Archaeologists employ ERT to uncover buried structures and artifacts, while geotechnical investigations use it to assess soil and rock properties, evaluate slope stability, and identify geological anomalies. In hydrogeology, ERT aids in aquifer delineation, groundwater flow analysis, and sustainable water resource management. Despite its advantages, operational execution of ERT faces several challenges. Accurate electrode placement is critical for data reliability, yet it can be

Figure 5. Applications of surface and cross-hole ERT for mapping base of alluvial overburden: (a) integrated resistivity images from surface and cross-hole ERT and (b) geological section from borehole rock samples and logging data [32].

hindered by difficult terrain or inaccessible areas. External factors such as soil moisture variability, temperature fluctuations, and cultural noise from infrastructure can distort measurements. Additionally, ERT’s effectiveness in material differentiation often necessitates integration with complementary techniques. Complex subsurface conditions may require advanced data processing and interpretation, which demand expertise and computational resources. Despite these barriers, ERT remains a cost-effective, non-invasive, and versatile tool for subsurface investigations across diverse scientific and engineering domains [33] [34].

3.3. Seismic Refraction

Seismic exploration is a critical geophysical survey technique extensively employed to investigate subsurface geological structures and locate valuable mineral resources as shown in Figure 6. This method relies on the generation of elastic waves, which are propagated through the Earth’s subsurface. By analyzing the reflection, refraction, and diffraction of these seismic waves as they travel through different strata and rock layers, geoscientists can infer various properties of the subsurface, including the composition, structure, and depth of geological formations. One of the primary advantages of seismic exploration is its ability to provide detailed, high-resolution images of the subsurface. This is particularly useful in identifying geological features such as faults, folds, and stratigraphic layers, which are crucial for understanding the Earth’s geologic history and the processes that have shaped it. Seismic data is invaluable in the exploration of hydrocarbons, as it helps in locating oil and gas reserves by mapping the size and extent of potential reservoirs. Additionally, seismic exploration is instrumental inmining, where it assists in discovering and delineating deposits of minerals such as gold, copper, and other valuable resources [35].

Figure 6. (A) Schematic diagram of the high-density resistivity method. (B) Some commonly used electrode arrays: (a) Wenner (α); (b) Wenner (β); (c)Wenner y (γ); (d) dipole-dipole; (e) pole-dipole; (f) Wenner Schlumberger [36].

Seismic surveys significantly reduce drilling risks and costs by accurately identifying subsurface targets. They are crucial in civil engineering for assessing ground conditions, ensuring infrastructure stability, and monitoring hazards like earthquakes and landslides. Advanced techniques such as 3D seismic imaging and 4D time-lapse surveys enhance subsurface monitoring and reservoir management. However, seismic refraction faces operational challenges, including terrain irregularities, limited resolution in complex geology, and interference from ambient noise. Precise source and geophone placement, high-quality data processing, and expert interpretation are essential to mitigate these barriers. Despite these challenges, seismic methods remain invaluable for reliable subsurface exploration and monitoring [37].

3.4. The GREATEM System

The grounded electrical-source airborne transient electromagnetic (GREATEM) system represents a significant innovation in geophysical exploration, offering an efficient, high-resolution method for subsurface characterization. It features a towed bird equipped with advanced instrumentation, including a three-component magnetometer, gyroscope, directional magneto-inductive (MI) sensor, and GPS unit. This configuration provides precise positional and orientation data, ensuring accurate magnetic field measurements even in challenging conditions. A state-of-the-art data logger complements the system, integrating a 24-bit analog-to-digital converter, solid-state memory, and a high-precision clock synchronized with the transmitter-control clock [38]. This synchronization enables seamless recording of the secondary magnetic field induced by subsurface resistivity variations during both the “on” and “off” phases of the transmitted current. The airborne capability of GREATEM allows for efficient data collection across large, remote, or inaccessible areas, significantly reducing survey times compared to ground-based methods. Its innovative approach combines real-time synchronization with advanced data processing, delivering high-resolution resistivity profiles crucial for understanding subsurface structures. These capabilities make GREATEM highly versatile, with applications ranging from mineral exploration and groundwater assessment to environmental monitoring and infrastructure evaluation [39]. As shown in Figure 7, integrating advanced technology with operational efficiency, enhances the accuracy and reliability of geophysical surveys, setting a new standard for subsurface exploration and analysis.

3.5. Noise Reduction TEM Signal

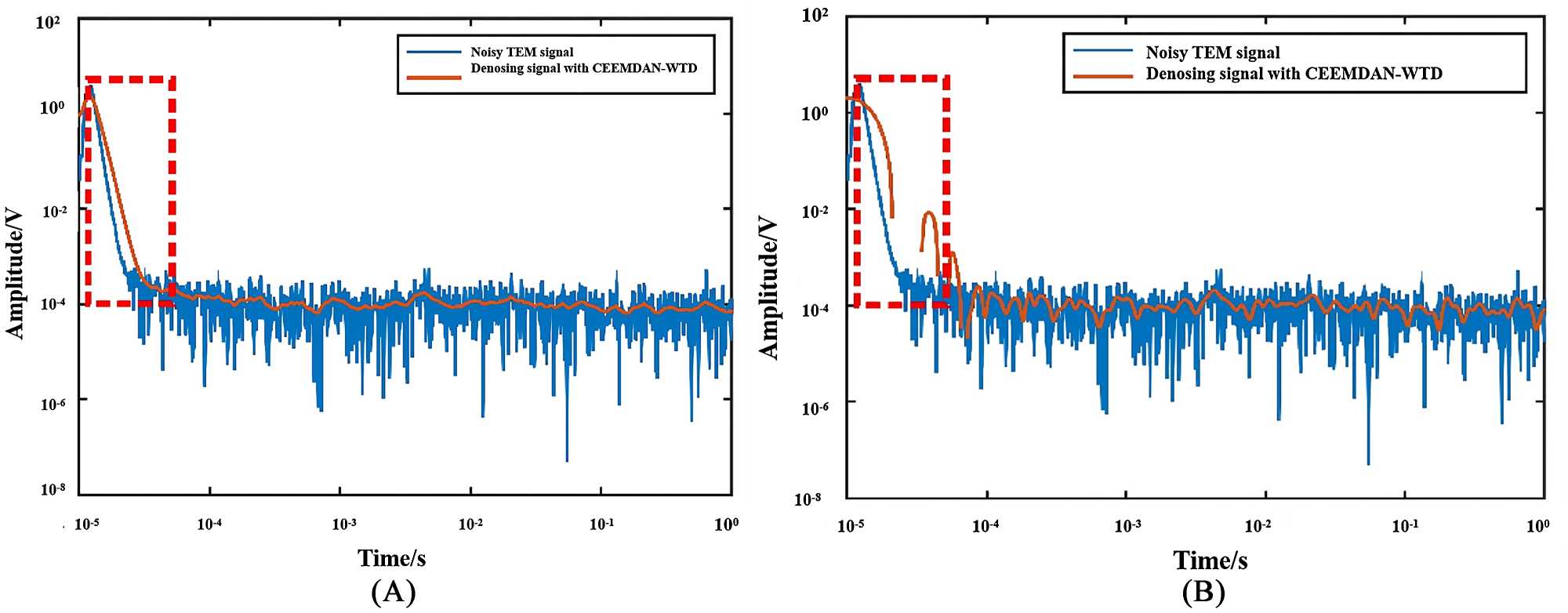
Previous researchers found that the Ensemble Empirical Mode Decomposition (EEMD) method relies heavily on the behavior of the Empirical Mode Decomposition (EMD) filter and the characteristics of the white noise spectrum. The EEMD approach involves adding white noise to the entire signal, which helps to address the mode mixing issue inherent in traditional EMD. However, after performing EMD decomposition, it is crucial to have substantial prior knowledge to estimate the amplitude of the white noise and determine the number of noise iterations required for extracting each Intrinsic Mode Function (IMF) as shown in Figure 8. This estimation is essential for integrating the averaging process as the final result.

The ensemble empirical mode decomposition (EEMD) process requires averaging

Figure 7. Three-dimensional resistivity modeling of GREATEM survey data from on take Volcano, northwest Japan [40].

Figure 8. Measured signal after CEEMD-WTD decomposition curve. (b) Measured signal after WOA-VMD decomposition curve [40].

hundreds of ensembles, making it computationally intensive and time-consuming. Increasing the number of ensemble averages can reduce reconstruction errors and enhance decomposition accuracy, but at a considerable computational cost. Conversely, restricting the number of ensemble averages prevents complete elimination of white noise, leading to significant reconstruction errors, poor dissection completeness, and residual noise after signal restoration. Thus, achieving an optimal balance between computational efficiency and signal decomposition quality is essential. Effective application of EEMD necessitates careful calibration of white noise amplitude and the number of iterations, alongside strategic decisions regarding ensemble averages. Minimizing reconstruction errors while ensuring accurate extraction of intrinsic mode functions (IMFs) and mitigating white noise is critical for its success [41]. To address these challenges, advancements in algorithm development are crucial. Potential innovations include adaptive noise addition methods, optimized averaging strategies, or hybrid approaches that integrate EEMD with other signal processing techniques to enhance both efficiency and accuracy. These developments will be pivotal for extending EEMD’s applicability to practical signal processing tasks [42]. In grounded electrical-source airborne transient electromagnetic (GREATEM) systems, changes in behavior compared to LOTEM systems (operating at ground level) are minimal, as the receiver continuously records ground responses powered by the ground source. However, in Heli-TEM systems, where the transmitter is airborne, ground energization varies along the flight path and altitude. Hybrid TEM systems, combining airborne receivers with ground-based transmitters, show great promise and are poised for significant advancements across diverse applications [43].

4. Field Surveys and Data Collection

4.1. Planning and Preparation

Methods for overall mining and shrinking are frequently employed in millions of cubic meters each year. Additionally, for a very long time, sufficient consideration was not given to how Goaf was treated. When the Goaf volume reaches a particular magnitude, it often leads to rapid, widespread caving or other stress-related calamities, which results in the loss of personnel and property [44] [45]. Once the residual coal spontaneously catches fire in the mine, it will result in a fire accident with significant property loss and personal injury. Therefore, pinpointing the locations of hazardous zones of residual coal spontaneous combustion is crucial for mine safety. The distinct-element modeling program Particle Flow Code (PFC) simulates the pore evolution and porosity distribution in a Goaf overburden as part of the construction of a fracture-pore evolution model of Goaf. A dynamic porosity model of Goaf is suggested by combining the collected porosity distribution data into Fluent using a User Defined Function (UDF) [20]. Leaning on what Wang et al. worked on it is a priority to prevail ourselves before starting any type of mining, as the technology has evolved, engineers have to take advantage of it and use it to collect more data and survey mining areas without any fear of life or having any effect on our environment [46].

4.2. Interpretation of Subsurface Characteristics and Goaf Zones

The benefits of passive electromagnetic technologies in coal mine Goaf interpretation will be researched further. One of these will be explored and validated as semi-quantitative SLF inversion in collapse-type mining Goaf locations. The stable 3D AMT inversion approach is also proposed and examined, with single-target and multi-target model outputs being evaluated in conjunction with various types of beginning models or data error bars. Following that, preliminary field surveys might be conducted using proposed electromagnetic technologies that have potential relevance as tools for analyzing collapse-type hazards or hydraulic risks in coal mine Goaf as shown in Table 2.

Table 2. A summary of classical geophysical methods in coal mine Goaf exploration.

Category

Methods

Detection Basis

Detection

Advantage

Defects

References

Seismic class

Reflection wave method

Wave impedances

Buried depth of 50 - 200 m

Small site distance, dense data gathering, and high-resolution continuous measurement.

High cost, complicated process, low efficiency, unable to determine the water-rich nature of the mining area; reduced feasibility when the width of the mining area is smaller than the lateral seismic resolution.

[47]

Face wave method

Frequency dispersion, the low-speed anomaly of P-waves

-

Convenient, fast detection, strong anti-interference ability, low requirements for exploration sites.

[29]

Tomography imaging

Velocity and amplitude

-

Close to the target layers, high-resolution, visual imaging.

[48]

Radiology

Radon measurement

Radon anomaly

-

Low cost, simple process, high efficiency, not affected by the terrain of the environment.

Qualitative analysis, low detection reliability, and depth cannot be interpreted.

[49]

Electromagnetic

class

High-density resistivity method

Resistivity

Burial depth of 50 - 150 m

High lateral resolution, sensitive to shallow low resistive anomalies and water-bearing bodies.

Influenced by the terrain conditions.

[50]

Transient electromagnetic method

Resistivity

Burial depth greater than 400 m

Versatile devices with large exploration depth, high efficiency, and low topographic influence.

Low work efficiency, easily affected by high conductors or power line interferences.

[51]

Geological radar method

Travel time, amplitude, frequency, waveform change

Burial depth less than 50 m

High resolution, high efficiency, and no damage to the target body

Noise suppression challenges.

[52] [53]

Multisource remote sensing (RS)

Land subsidence, deformation rate

Near-surface

Large scale.

Not suitable for a small area, weak deformation measurement.

[54]

Gravity

Gravity method

Density

-

Fast gravity anomaly analysis, variations of thickness.

Unable to realize depth sounding.

[55]

Interpreting subsurface characteristics and Goaf zones involves analyzing geophysical data and integrating it with geological information to gain insights into underground conditions. The interpretation of the process is as the first stage is to investigate the geophysical data, such as seismic, electrical resistivity, or electromagnetic data, that have been obtained from the subsurface. Examining the collected signals, spotting abnormalities or trends, and comprehending how the subsurface reacted to the geophysical survey are all part of this study. Following with geophysical data interpretation is most effective when combined with existing geological knowledge. Geological maps, borehole logs, and geological cross-sections provide essential information about the rock types, structures, and stratigraphy in the study area. Integrating this geological information with the geophysical data helps in establishing relationships and making meaningful interpretations [56]. The calibration and model of geophysical data can estimate subsurface properties and features. By comparing the geophysical response with known geological structures or subsurface properties, calibration is performed to establish relationships and refine the interpretation. Numerical modeling techniques, such as forward modeling and inversion methods, are essential for simulating subsurface conditions and refining interpretations of Goaf zones. This iterative process requires integrating multiple data sources, feedback, and validation while demanding expertise in geophysics, geology, and site-specific characteristics. Operational challenges include computational complexity, the need for high-quality input data, and difficulties in modeling heterogeneous geological conditions [57]. Limited field data and discrepancies between observed and modeled results may necessitate repeated iterations, increasing time and resource demands. Despite these barriers, numerical modeling provides critical insights for mine planning, geotechnical evaluations, and safety management, ensuring informed decision-making.

5. Progress and Advancements in Geophysical Exploration

5.1. Overview of Recent Research and Developments

Geophysical exploration of Goaf areas in coal mines is driven by safety, environmental sustainability, and resource management. Goaf refers to voids left after coal extraction, posing risks like subsidence, gas accumulation, and water inrushes. Research develops seismic surveys, GPR, ERT, and microgravity to monitor Goafs. Utilizing waste materials (mine waste, industrial by-products, organics) enhances ecological recovery. Carbon-trapping fills mitigate emissions; managed Goafs aid water and habitat management. Continuous monitoring via sensors, remote sensing, and predictive models detects hazards early. Policies ensure safe Goaf management, defining fill material standards, safety, and rehabilitation, integrating tech and waste solutions for ecological benefits.

5.2. Integration of Multi-Physics Approaches

Integrating multi-physics approaches in geophysical exploration involves the simultaneous application of various geophysical methods, such as seismic, electromagnetic, gravity, and magnetic surveys, to create a more comprehensive and accurate understanding of subsurface properties. Each method has unique strengths and limitations: seismic methods are renowned for their high-resolution imaging of subsurface structures, providing detailed information about rock layers and fault lines. Electromagnetic surveys, on the other hand, are particularly sensitive to variations in subsurface electrical conductivity, making them invaluable for identifying different types of rocks and detecting fluids like water and hydrocarbons. Gravity and magnetic surveys contribute additional layers of information by mapping density and magnetic susceptibility contrasts, respectively, which are crucial for identifying ore bodies and geological formations. The integration of these diverse data sets is achieved through advanced inversion algorithms and data fusion techniques. Inversion algorithms process geophysical data to create models of the subsurface, transforming raw data into meaningful geological information. Data fusion techniques then combine these models to produce a unified interpretation that leverages the strengths of each individual method, thereby overcoming their respective limitations. This multi-disciplinary approach facilitates a more robust and reliable interpretation of complex geological features, improving the accuracy of resource estimation and aiding in the identification of hydrocarbons, minerals, and groundwater resources [58]. Moreover, the integration of multi-physics approaches enhances the ability to mitigate exploration risks by providing a more detailed and accurate picture of the subsurface, reducing uncertainties in geological models. This comprehensive understanding allows for the optimization of drilling targets, ensuring that exploration efforts are more efficient and cost-effective [59]. By utilizing the full spectrum of geophysical methods in a cohesive manner, multi-physics integration ultimately leads to more successful exploration outcomes, driving advancements in the field of geophysics and contributing to the sustainable management of natural resources.

6. Risk Assessment and Mitigation

Risk assessment and mitigation are essential in managing the dangers of coal mine Goafs, such as subsidence, gas buildup, and water inrushes. Techniques like seismic surveys, GPR, ERT, and microgravity help characterize voids, while mitigation involves filling Goafs with waste materials to enhance stability and ecological recovery. Continuous monitoring using sensors, IoT, and predictive models ensures early hazard detection. Policies and standards guide safe Goaf management, integrating technology and sustainability. Prioritizing risks by severity ensures critical issues are addressed promptly, as illustrated in Figure 9.

Effective mitigation strategies are crucial for ensuring safety in coal mine Goafs. Once high-priority risks are identified, develop targeted strategies to either prevent the risks or minimize their impact. Implement these measures by assigning clear responsibilities, allocating resources, and integrating necessary changes into

Figure 9. Physical Hazards on the site.

existing processes. Ensure all stakeholders understand their roles in maintaining safety. Regular monitoring is essential to evaluate the effectiveness of these strategies, with adjustments made as needed to address emerging risks. Periodic reviews of risk assessments help capture new hazards, ensuring timely updates to mitigation plans. Educating employees and relevant personnel on risks and mitigation strategies through training enhances safety awareness and preparedness. Continuous improvement is vital risk assessment and mitigation should be dynamic, evolving based on lessons learned and feedback. By embedding these practices into organizational culture, the likelihood of hazards such as subsidence, gas accumulation, and water inrushes is significantly reduced, promoting safer operations and minimizing potential impacts [60].

7. Determination of Goaf Stability

The determination of Goaf stability involves assessing the structural integrity and potential risks associated with the Goaf. A precise mechanical model that can accurately describe the actual shape and proper locations of the Goaf is the foundation for a successful numerical analysis of Goaf stability [61]. The technique makes meshing and modeling during simulation easier and boosts the accuracy of numerical simulation. A great method for measuring gas is the cavity monitoring system. It can be used to gather spatial information about Goaf, including the true boundaries, volume, three-dimensional shape, etc. A fresh perspective on developing mine technology is offered by visualization software based on space information. By integrating CMS, 3D modeling, and network technology as shown in Figure 10, Goaf visualization transmission and display based on the network was achieved [62]. As the technology evolves most of the layers which were once hard to recognize have become easy to find based on the given data of the mine site. The commonly used Bieniawski formula is based on the correlation between the strength of coal pillars and their ratio of width to height.

σ p = σ m ( 0.64+0.36 w n ) (1)

whereas σ p is the pillar of strength (MPa), σ m strength of a unit volume of coal (MPa), w and h are the width and height of the pillar.

Figure 10. Geophysical exploration using instruments, survey line layout, and comprehensive interpretation of profile [63].

Valuating Goaf stability requires a comprehensive approach that integrates geological, geophysical, and geotechnical data. The process begins with gathering critical information on rock type, strength, structure, stress conditions, and the Goaf’s dimensions, shape, depth, and proximity to active mining areas. Structural analysis is essential to assess the stability of the surrounding rock mass, using numerical modeling, geomechanically calculations, or empirical methods to understand the potential for deformation or collapse. Continuous monitoring systems, such as inclinometers, extensometers, strain gauges, and ground-based radar, should be installed to track ground movements, subsidence, and deformations over time. Regular data collection and analysis help detect changes in stability early. Additionally, evaluating stress distribution within the rock mass is crucial, accounting for stress redistribution due to mining activities and the interaction between the Goaf and remaining support structures. Assessing the mechanical properties of the surrounding rock mass, including strength, deformation characteristics, and response to stress changes, is vital. Laboratory tests and site investigations provide data for numerical simulations using methods like finite element analysis or distinct element modeling. These simulations help predict potential failure modes and determine factors of safety. Skilled geotechnical engineers and mining professionals should oversee the evaluation to ensure accurate data interpretation and the implementation of effective mitigation measures, ensuring the long-term stability and safety of the Goaf [63].

8. Determination of Goaf Instability

Determining Goaf instability involves understanding the combined effects of static and dynamic loads on the rock mass and coal pillars. Static loads include surface structures, vegetation, and the weight of overlying rock, which exert constant pressure on the Goaf area. Dynamic loads, however, are more variable and can arise from sudden events such as roof collapses in the overlying strata, vibrations from vehicles or engineering construction, and mining activities like tunneling, blasting, or pressure relief operations. When both load types interact, they can significantly degrade the physical and mechanical properties of the rock mass. Static loads contribute to stress concentration and gradual rock mass degradation, while dynamic loads accelerate crack development and propagation. This combination leads to increased deformation and the potential collapse of Goaf roofs and pillars, further exacerbating instability. Key factors influencing instability include the original design of the underground mine, particularly the size and spacing of coal pillars, which must be sufficient to support the overburden. Stress concentration around the Goaf and the interaction between dynamic and static forces cause progressive weakening of the rock mass. Continuous monitoring of stress redistribution, crack propagation, and load variations is crucial to predict potential instability. Accurate determination of Goaf instability requires advanced numerical modeling, field monitoring, and geomechanically analysis to evaluate stress conditions, detect early signs of failure, and implement appropriate mitigation strategies [64].

σ s = γH( W+B )( B+L )  WL   (2)

whereas σ s refers to the stress of the collar pillar, MPA; γ refers to the average bulk density of the overlying strata kN/m3; H refers to the mining depth, m; W refers to the width of the coal pillar, m; B refers to the width of the coal chamber, m; L refers to the length of the coal pillar, M.

It should be noted that Goaf stability assessment is a continuous process, and care should be taken to ensure the safety of miners working in or around the Goaf region. Specific practices may also differ based on the type of mining operation and local restrictions as highlighted in Figure 11.

Figure 11. The instability chain of the Goaf under the influence of dynamic and static loads [65].

9. Conclusion

The future insight into the development of geophysical exploration in Goaf offers great potential for improving our understanding of underlying conditions and assuring efficient and safe mining operations. As technology advances, several significant themes are expected to affect the future of geophysical exploration in Goaf. The integration of modern geophysical imaging techniques is a critical component of future development. Traditional techniques, such as seismic and resistivity studies, have proved critical in mapping subsurface structures. However, developing technologies such as 3D seismic imaging and controlled-source electromagnetic (CSEM) provide higher resolution and greater accuracy, allowing miners to better assess the complicated geological characteristics inside Goaf regions Furthermore, the use of machine learning and artificial intelligence in geophysical exploration operations is expected to transform data interpretation. These tools can evaluate large datasets quickly and precisely, detecting tiny patterns and abnormalities that humans may miss. This improved data analysis capability has the potential to considerably increase the trustworthiness of subsurface models, resulting in better-informed decisions in mine planning and resource optimization. The future of geophysical exploration in Goaf will also include breakthroughs in sensor technology. Miniaturized and more complex sensors, such as those based on quantum technologies, can give real-time, high-resolution information on the subsurface environment. The province has contributed to China’s economic growth and plays an important role in the country’s energy sector. The decision may have an impact on future coal mining in the area. As of 2024, Shanxi province in China is pursuing restoration efforts to promote ecological diversity and sustainability in Goaf areas. Acknowledging the diversity of advantages that the production of coal has had on the economy of several countries and the risks associated with the production; safety should always be the main priority when working in the surroundings of Goaf areas; engineers have to rely on the latest technology to design underground mines including pillar size and spacing as discuss above and have to ensure adequate support for the roof and prevent excessive stress on Goaf areas. Effective production requires precise planning, continual monitoring, and an unwavering commitment to worker and environmental safety.

Conflicts of Interest

The authors declare no conflicts of interest.

Conflicts of Interest

The authors declare no conflicts of interest.

References

[1] Kang, H.P., Lin, J., Yan, L.X., Zhang, X., Wu, Y.Z. and Si, L.P. (2009) Study on Characteristics of Underground in-Situ Stress Distribution in Shanxi Coal Mining Fields. Chinese Journal of Geophysics, 52, 1782-1792.
https://www.osti.gov/etdeweb/biblio/21222350
[2] Shi, X.X., Yan, S., Fu, J.M. and Chen, M.S. (2009) Improvement for Interpretation of Central Loop Transient Electromagnetic Method. Chinese Journal of Geophysics, 52, 1931-1936.
https://www.osti.gov/etdeweb/biblio/21222349
[3] Teng, J. (2007) Some Important Scientific Problems in Current Lithospheric Physics Research in China. Applied Geophysics, 4, 66-72.[CrossRef
[4] Yan, S., Wang, G., Shen, T. and Zeng, X. (2006) Detection Depth of Transient Electromagnetic Method for A-Type Layer. 2006 7th International Symposium on Antennas, Propagation & EM Theory, Guilin, 26-29 October 2006, 1-4.[CrossRef
[5] Aydan, Ö. (2003) The Inference of Crustal Stresses in Japan with a Particular Emphasis on Tokai Region. In: Sugawara, K., Obara, Y. and Sato, A., Eds., Rock Stress ’03, CRC Press, 6 p.
[6] Zulauf, G. (2001) Structural Style, Deformation Mechanisms and Paleodifferential Stress along an Exposed Crustal Section: Constraints on the Rheology of Quartzofeldspathic Rocks at Supra-and Infrastructural Levels (Bohemian Massif). Tectonophysics, 332, 211-237. [Google Scholar] [CrossRef
[7] Pang, Y., Zhang, H., Cheng, H., Shi, Y., Fang, C., Luan, X., et al. (2020) The Modulation of Groundwater Exploitation on Crustal Stress in the North China Plain, and Its Implications on Seismicity. Journal of Asian Earth Sciences, 189, 104141.[CrossRef
[8] Karuna Kumari, E., Das, D., Suresh, S., Lal, S. and Narasimhadhan, A.V. (2018) A Robust Framework for Quality Enhancement of Aerial Remote Sensing Images. Infrared Physics & Technology, 93, 362-374.[CrossRef
[9] Mishra, S., Panda, S. and Akcil, A. (2021) Indispensable Role of Coal as an Energy Source in Turkey with Focus on Biodesulphurization Studies and Advances. Case Studies in Chemical and Environmental Engineering, 4, Article 100139.[CrossRef
[10] Gagarin, H., Sridhar, S., Lange, I. and Bazilian, M.D. (2020) Considering Non-Power Generation Uses of Coal in the United States. Renewable and Sustainable Energy Reviews, 124, Article 109790.[CrossRef
[11] Levi, M. (2013) Climate Consequences of Natural Gas as a Bridge Fuel. Climatic Change, 118, 609-623.[CrossRef
[12] Shao, P., Hou, H., Wang, W., Qin, K. and Wang, W. (2022) Distribution and Enrichment of Al-Li-Ga-Rees in the High-Alumina Coal of the Datong Coalfield, Shanxi Province, China. Ore Geology Reviews, 140, Article 104597.[CrossRef
[13] Lomakin, I.S. and Tsayukov, A.A. (2021) Estimating the Influence of the Technological Interlayer Lamination on Stability of the Goaf Supporting Elements. Procedia Structural Integrity, 32, 117-123.[CrossRef
[14] Xue, G.Q., Cheng, J.L., Zhou, N.N., Chen, W.Y. and Li, H. (2013) Detection and Monitoring of Water-Filled Voids Using Transient Electromagnetic Method: A Case Study in Shanxi, China. Environmental Earth Sciences, 70, 2263-2270.[CrossRef
[15] Huang, F., Shi, X., Wu, C., Dong, G., Liu, X. and Zheng, A. (2023) Stability Analysis of Tunnel under Coal Seam Goaf: Numerical and Physical Modeling. Underground Space, 11, 246-261.[CrossRef
[16] Yang, X., Sasaki, K., Zhang, X. and Sugai, Y. (2018) Permeability Estimate of Underground Long-Wall Goaf from P-Wave Velocity and Attenuation by Lab-Scale Experiment on Crushed Rock Samples. Journal of Applied Geophysics, 159, 785-794.[CrossRef
[17] Li, H., Huang, J., Tang, L., Sun, J., Guo, G., Chen, Y., et al. (2023) New Model of Negative Carbon Utilization in Coal Mine Goafs and Its Feasibility and Prospects for Application. Journal of Cleaner Production, 420, Article 138368.[CrossRef
[18] Li, J., Li, X., Chen, S., Cao, J. and Gao, F. (2022) Study on Generation, Migration and Accumulation of CO in the Mining Goaf of Shallow-Buried Close Distance Coal Seam Group. Scientific Reports, 12, Article No. 14424.[CrossRef] [PubMed]
[19] Cao, B., Wang, J., Du, H., Tao, Y. and Liu, G. (2022) Research on Comprehensive Detection and Visualize of Hidden Cavity Goaf. Scientific Reports, 12, Article No. 22309.[CrossRef] [PubMed]
[20] Li, W., Lu, X., Wu, R. and Wang, H. (2023) Evolution Analysis of Research on Disaster-Causing Mechanism and Prevention Technology of Mine Goaf Disaster. Environmental Science and Pollution Research, 30, 93388-93406.[CrossRef] [PubMed]
[21] Qu, N. (2022) Study on the Characteristics and Prevention Methods of Seeper in Mined-Out Area Based on Big Data Analysis and Geophysical Exploration Technology. 2022 International Conference on Innovation, Knowledge, and Management (ICIKM), Hong Kong SAR, 25-27 June 2022, 10-13.[CrossRef
[22] Teng, J., Li, S., Jia, M., Lian, J., Liu, H., Liu, G., et al. (2020) Research and Application of In‐Seam Seismic Survey Technology for Disaster‐Causing Potential Geology Anomalous Body in Coal Seam. Acta Geologica Sinica-English Edition, 94, 10-26.[CrossRef
[23] CEIC Data (2023) China Coal Production.
https://www.ceicdata.com.cn/en/indicator/china/coal-production
[24] Dávila-Pulido, G.I., González-Ibarra, A.A. and Garza-García, M. (2023) A Brief Review on Coal Reserves, Production and Possible Non-Power Uses: The Case of Mexico. Heliyon, 9, e16043.[CrossRef] [PubMed]
[25] Han, D., Shi, X. and Li, D. (2011) Study on Anomaly Characteristics of In-Advance DC Detection of Water-Accumulating Gob in Abandoned Mines. Procedia Earth and Planetary Science, 3, 217-223.[CrossRef
[26] Fu, B., Liu, G., Liu, Y., Cheng, S., Qi, C. and Sun, R. (2016) Coal Quality Characterization and Its Relationship with Geological Process of the Early Permian Huainan Coal Deposits, Southern North China. Journal of Geochemical Exploration, 166, 33-44.[CrossRef
[27] Lian, X., Hu, H., Li, T. and Hu, D. (2020) Main Geological and Mining Factors Affecting Ground Cracks Induced by Underground Coal Mining in Shanxi Province, China. International Journal of Coal Science & Technology, 7, 362-370.[CrossRef
[28] Hao, H., Huang, W., Hao, R., Mu, N., Wen, L. and Yu, C. (2023) Mineralogy and Elemental Geochemistry of Pyrite Coal-Balls, Datong Coalfield, Shanxi Province, China: Implications for Differentiation Mechanism. Ore Geology Reviews, 159, Article 105538.[CrossRef
[29] Alani, A.M., Aboutalebi, M. and Kilic, G. (2013) Applications of Ground Penetrating Radar (GPR) in Bridge Deck Monitoring and Assessment. Journal of Applied Geophysics, 97, 45-54.[CrossRef
[30] Wang, Z., Xu, Y., Zhang, Z. and Zhang, Y. (2020) Review: Acid Mine Drainage (AMD) in Abandoned Coal Mines of Shanxi, China. Water, 13, Article 8.[CrossRef
[31] Li, L., Lei, Y., Wu, S., He, C. and Yan, D. (2018) Study on the Coordinated Development of Economy, Environment and Resource in Coal-Based Areas in Shanxi Province in China: Based on the Multi-Objective Optimization Model. Resources Policy, 55, 80-86.[CrossRef
[32] Pan, H., Wang, J., Du, Z., Wu, Z., Zhang, H. and Ma, K. (2023) Spatiotemporal Evolution of Ecosystem Services and Its Potential Drivers in Coalfields of Shanxi Province, China. Ecological Indicators, 148, Article 110109.[CrossRef
[33] Liu, J., Zhou, Q., Wang, D., Deng, L. and Gao, K. (2023) Algorithm for Cavity Flow in a New-Born Goaf and Experimental Verification. International Journal of Mining Science and Technology, 33, 351-361.[CrossRef
[34] Wu, L., Wang, L., Wang, Y., Hu, X., Dong, C., Yang, Z., et al. (2014) Component and Process Based Exergy Evaluation of a 600MW Coal-Fired Power Plant. Energy Procedia, 61, 2097-2100.[CrossRef
[35] Cui, H. and Wei, P. (2017) Analysis of Thermal Coal Pricing and the Coal Price Distortion in China from the Perspective of Market Forces. Energy Policy, 106, 148-154.[CrossRef
[36] Zhang, L., Zheng, L. and Liu, M. (2022) Study on the Mineralogical and Geochemical Characteristics of Arsenic in Permian Coals: Focusing on the Coalfields of Shanxi Formation in Northern China. Energies, 15, Article 3185.[CrossRef
[37] Li, Y., Chiu, Y. and Lin, T. (2019) Coal Production Efficiency and Land Destruction in China’s Coal Mining Industry. Resources Policy, 63, Article 101449.[CrossRef
[38] Manning, A.H., Mills, C.T., Morrison, J.M. and Ball, L.B. (2015) Insights into Controls on Hexavalent Chromium in Groundwater Provided by Environmental Tracers, Sacramento Valley, California, USA. Applied Geochemistry, 62, 186-199.[CrossRef
[39] Abd Allah, S. and Mogi, T. (2016) Three-Dimensional Resistivity Modeling of GREATEM Survey Data from Ontake Volcano, Northwest Japan. Earth, Planets and Space, 68, Article No. 76.[CrossRef
[40] Hoy, K.A. (2023) Asymmetric Responses to Severance Tax Changes: Coal Production in West Virginia. Energy Economics, 125, Article 106840.[CrossRef
[41] Wu, X.F. and Chen, G.Q. (2018) Coal Use Embodied in Globalized World Economy: From Source to Sink through Supply Chain. Renewable and Sustainable Energy Reviews, 81, 978-993.[CrossRef
[42] Li, G., Li, C., Huo, C., et al. (2022) Key Technology and Engineering Demonstration for Cascade Utilization of Gas in Key Coal Mining Areas of Shanxi Province, China. Coal Geology & Exploration, 50, 42-50.[CrossRef
[43] Wang, Y., Si, G., Xiang, Z., Oh, J., Belle, B. and Webb, D. (2022) A Theoretical Goaf Resistance Model Based on Gas Production Analysis in Goaf Gas Drainage. International Journal of Coal Geology, 264, Article 104140.[CrossRef
[44] Zheng, X., Lu, Y., Xu, J., Geng, H. and Li, Y. (2023) Assessment of Heavy Metals Leachability Characteristics and Associated Risk in Typical Acid Mine Drainage (AMD)-Contaminated River Sediments from North China. Journal of Cleaner Production, 413, Article 137338.[CrossRef
[45] Yuan, H., Cao, Z., Xiong, L., Li, H. and Wang, Y. (2022) A Machine Learning Method for Engineering Risk Identification of Goaf. Water, 14, Article 4075.[CrossRef
[46] Wang, Y., Fu, G., Lyu, Q., Wu, Y., Jia, Q., Yang, X., et al. (2022) Reform and Development of Coal Mine Safety in China: An Analysis from Government Supervision, Technical Equipment, and Miner Education. Resources Policy, 77, Article 102777.[CrossRef
[47] Fan, H., Li, T., Gao, Y., Deng, K. and Wu, H. (2021) Characteristics Inversion of Underground Goaf Based on InSAR Techniques and PIM. International Journal of Applied Earth Observation and Geoinformation, 103, Article 102526.[CrossRef
[48] Xu, X., Peng, S. and Yang, F. (2018) Development of a Ground Penetrating Radar System for Large-Depth Disaster Detection in Coal Mine. Journal of Applied Geophysics, 158, 41-47.[CrossRef
[49] Deuss, K.E., Almond, P.C., Carrick, S. and Kees, L.J. (2023) Identification, Mapping, and Characterisation of a Mature Artificial Mole Channel Network Using Ground-Penetrating Radar. Agricultural Water Management, 288, Article 108477.[CrossRef
[50] Zhao, Y., Ling, C., Zhang, K., Gao, Y., Sun, B. and Wang, X. (2022) Detection of Hidden Mining-Induced Ground Fissures via Unmanned Aerial Vehicle Infrared System and Ground-Penetrating Radar. International Journal of Rock Mechanics and Mining Sciences, 160, Article 105254.[CrossRef
[51] Yuan, C. and Cai, H. (2020) Spatial Reasoning Mechanism to Enable Automated Adaptive Trajectory Planning in Ground Penetrating Radar Survey. Automation in Construction, 114, Article 103157.[CrossRef
[52] Suknark, P., Buddhawong, S. and Wangyao, K. (2023) Investigating the Effect of Waste Age and Soil Covering on Waste Characteristics Prior to Landfill Mining Using an Electrical Resistivity Tomography Technique. Journal of Environmental Management, 339, Article 117898.[CrossRef] [PubMed]
[53] Imani, P., Tian, G., Hadiloo, S. and El-Raouf, A.A. (2021) Application of Combined Electrical Resistivity Tomography (ERT) and Seismic Refraction Tomography (SRT) Methods to Investigate Xiaoshan District Landslide Site: Hangzhou, China. Journal of Applied Geophysics, 184, Article 104236.[CrossRef
[54] Kanlı, A.I. (2019) Applied Geophysics with Case Studies on Environmental, Explora-tion and Engineering Geophysics. Intechopen.[CrossRef
[55] Perrone, A., Lapenna, V. and Piscitelli, S. (2014) Electrical Resistivity Tomography Technique for Landslide Investigation: A Review. Earth-Science Reviews, 135, 65-82.[CrossRef
[56] Asif, M. and Kumar, A. (2022) Resistive Switching in Emerging Materials and Their Characteristics for Neuromorphic Computing. Materials Today Electronics, 1, Article 100004.[CrossRef
[57] Tso, C.M., Kuras, O., Wilkinson, P.B., Uhlemann, S., Chambers, J.E., Meldrum, P.I., et al. (2017) Improved Characterisation and Modelling of Measurement Errors in Electrical Resistivity Tomography (ERT) Surveys. Journal of Applied Geophysics, 146, 103-119.[CrossRef
[58] Park, S., Tsourlos, P. and Shin, S. (2022) Electrical Resistivity Tomography (ERT) Monitoring of Leachate Seepage from an Animal Carcass Waste (ACW) Facility, South Korea. Journal of Applied Geophysics, 206, Article 104809.[CrossRef
[59] Zhao, Y., Yue, S., Zhang, Y. and Wang, H. (2023) Flow Velocity Computation Using a Single ERT Sensor. Flow Measurement and Instrumentation, 93, Article 102433.[CrossRef
[60] Sari, L., Srigutomo, W., Adimayuda, R., Andriyani, D., Gumilar, S. and Amalia, I.F. (2021) An Analytical Generalized Reciprocal Method (GRM) for Near-Surface Seismic Refraction Investigations. Journal of Physics: Conference Series, 1869, Article 012199.[CrossRef
[61] Yu, C., Chen, W., Zhang, X. and Lei, K. (2022) Review and Challenges in the Geophysical Mapping of Coal Mine Water Structure. Geofluids, 2022, Article ID: 4578072.[CrossRef
[62] Zelt, C.A. and Barton, P.J. (1998) Three‐Dimensional Seismic Refraction Tomography: A Comparison of Two Methods Applied to Data from the Faeroe Basin. Journal of Geophysical Research: Solid Earth, 103, 7187-7210.[CrossRef
[63] Ai, B., Wen, Z., Jiang, Y., Gao, S. and Lv, G. (2019) Sea Surface Temperature Inversion Model for Infrared Remote Sensing Images Based on Deep Neural Network. Infrared Physics & Technology, 99, 231-239.[CrossRef
[64] Li, D., Tian, Z., Ma, Y., Gu, J., Ji, Y. and Li, S. (2019) Application of Grounded Electrical Source Airborne Transient Electromagnetic (GREATEM) System in Goaf Water Detection. Journal of Environmental and Engineering Geophysics, 24, 387-397.[CrossRef
[65] Zhang, B., Hu, S. and Li, M. (2023) Comparative Study of Multiple Machine Learning Algorithms for Risk Level Prediction in Goaf. Heliyon, 9, e19092.[CrossRef] [PubMed]

Copyright © 2025 by authors and Scientific Research Publishing Inc.

Creative Commons License

This work and the related PDF file are licensed under a Creative Commons Attribution 4.0 International License.