Selective Impact of Dispersion and Nonlinearity on Waves and Solitary Wave in a Strongly Nonlinear and Flattened Waveguide

Abstract

The waveguide which is at the center of our concerns in this work is a strongly flattened waveguide, that is to say characterized by a strong dispersion and in addition is strongly nonlinear. As this type of waveguide contains multiple dispersion coefficients according to the degrees of spatial variation within it, our work in this article is to see how these dispersions and nonlinearities each influence the wave or the signal that can propagate in the waveguide. Since the partial differential equation which governs the dynamics of propagation in such transmission medium presents several dispersion and nonlinear coefficients, we check how they contribute to the choices of the solutions that we want them to verify this nonlinear partial differential equation. This effectively requires an adequate choice of the form of solution to be constructed. Thus, this article is based on three main pillars, namely: first of all, making a good choice of the solution function to be constructed, secondly, determining the exact solutions and, if necessary, remodeling the main equation such that it is possible; then check the impact of the dispersion and nonlinear coefficients on the solutions. Finally, the reliability of the solutions obtained is tested by a study of the propagation. Another very important aspect is the use of notions of probability to select the predominant solutions.

Share and Cite:

Tchinda, C. , Abou’ou, M. and Bogning, J. (2024) Selective Impact of Dispersion and Nonlinearity on Waves and Solitary Wave in a Strongly Nonlinear and Flattened Waveguide. Open Journal of Applied Sciences, 14, 1730-1753. doi: 10.4236/ojapps.2024.147113.

1. Introduction

The phenomena of propagation are like modes of movement of energies. Originally, they are naturally deployed in space. We have clouds, earthquakes, hurricanes, tornadoes, sound and current, to mention only those. Life being strongly linked to the management of the energies at its disposal, man has over time, developed the mechanisms to tame these different forms of energies. The most common are the different waveguides like copper wires, iron wires, power lines, optical fibers, and many others. But the propagation of these energies (signals) in these different transmission media also comes up against many problems and thereby, raises several challenges, namely: being able, to generate these energies and make them propagate in the environment, being able to determine the form of the signal that we want to propagate and how long can the generated signal continue to propagate in the medium. If the signal ends up weakening, it is always important to fine the cause of the attenuation, hence one must look at the material the transmission medium is made of, and the characteristic properties of the said transmission medium. We can have many challenges but, they all lead to the development of techniques to stabilize the signal which propagates in the fiber, and to push the limits of the comfort of the wave or the signal in its propagation medium. It is in this dynamic that, researchers try every day to unravel the mysteries that nature hides. Among these mysteries, one of the most important was the discovery of the solitary wave. This concept has been accompanied by a proliferation of works [1]-[13]. This passion for the solitary wave remains just as strong today as evidenced by a recent work done on the ferromagnetic chains of Heisenberg [14]. Always in the logic of studies of wave propagation, this dynamic which originated on sea waves [15] [16] [17], has been exported to solid transmission media such as optical fibers and others [18]-[21].

Interest in studying the dynamics of solitary waves in solid media is growing, as evidenced by this excellent recent work published in the Journal Results in Physics [22]-[24].

The analytical study of these phenomena is closely linked to the modeling of the differential equations which govern their dynamics as well as the resolution methods, many authors are working to solve them while setting up and permanently the resolution methods [25]-[37]. In short, researchers around the world are doing what they can, to extend the limits of science. It is in this perspective that we initiated a series of works very interested in the properties of the propagation environment of a wave on the wave itself [38] [39].

To return to our subject, we consider a strongly flattened and nonlinear waveguide, characterized by strong dispersions and strong nonlinearities. The partial differential equation which governs the dynamics of propagation within it consists of several terms of dispersion coefficients ranging, from order 1 to order 6, as well as the terms of cubic, quintic and septic nonlinearity. Subsequently, we impose on its forms of solutions, and see the readjustment to be made on the dispersion coefficients, so that this is possible. Keeping this work philosophy in mind, we realized that it was difficult to carry out this work with several forms of solutions taken separately.

This is why we have set our sights on a form of solution that embodies in it, several different forms of solution functions. We are talking more precisely about the forms of wave solutions whose envelopes have analytical sequences in the form of implicit Bogning-functions (iB-functions). This is in principle what guides the instinct of our analysis in this work. This method that we [40] [41] [42] want to use, is part of the inverse techniques for finding solutions of nonlinear partial differential equations. Sheng Zhang et al. and Bo Xu et al. have produced exceptional articles in this sense and whose foundations are based on the exp-funtion method, the variation of coefficients and especially the fractional techniques for solving KdV and Schrödinger equations [43]-[46]. We follow this logic to use the ansatziB-function which is a kind of generalized analytic sequence that can take several forms to inventory the solutions, while having a look on the impact of the waveguide properties on the solutions.

The objective of this study is to know the necessary dosage that must be done on the properties of waveguides during their manufacture in order to promote the propagation of any signal. To better carry out the analyses, we organize the work as follows: Section 2 presents the overall motivation of the work as well as the method that will be used. In Section 3, we establish the range of coefficients equation around which many solutions will be found; Section 4, sets out the possible fields of solutions; Section 5 establishes the constraint relations as well as the analytical solutions. In Section 6, a numerical study of the solutions is made. We end our study with a conclusion which returns to the physical aspect of the results obtained.

2. Motivation and Method

The problem that we solve in this article has three facets, namely, how to find the solutions of the strongly nonlinear and highly dispersive partial differential equation which governs the dynamics of wave propagation in the optical fiber and more generally in a waveguide of the same nature. The second facet of our problem is which method should we use and why? In the case where the solutions to be constructed do not work: how to modify the equation so that the solution to be constructed is an exact solution. Subsequently, check the impact of the properties of the waveguide, i.e. the different coefficients of the terms of main nonlinear partial differential equation on the solutions obtained. Given that, the equation considered in the case of our study is difficult to integrate by the direct method, we opted for an indirect method; that is to say, we impose a form of solution and see in which conditions it is actually solution.

Another problem that arises, when we want to consider the solution to build, is to know which form of solution to choose. Knowing also that the majority of physical equations are equations of motion, it would be prudent or logical to consider a solution function which can lead to any solution, wave solution or solitary wave. We have for this purpose, to choose the iB-function which is a function with the particularity of including within it, several forms of functions namely the exponential, trigonometric and hyperbolic functions according to the choice of its parameters and indices [40] [41]. The choice of this function is not hazardous because the functions cited above are often used as analytical sequences of traveling and solitary waves. The particularity of this work lies in the revolutionary technique of resolution which proposes the exact solutions of the so-called complicated nonlinear partial differential equations which we would also like to share with other researchers. As far as possible, the remodeling of the nonlinear partial differential equations from the start is done in such a way as to obtain the exact solutions from a purely mathematical angle. Once the solutions have been obtained, we analytically verify the influence of dispersive and nonlinear effects on the intensity of the signal prototypes (solutions). This being so, it is appropriate to briefly present the iB-function as well as some properties which will be useful in this work.

2.1. Presentation of the iB-Functions

2.1.1. Main Form of the iB-Function

The main form of the iB-function is generally defined by [40] [41]

J n,m ( i=0 p α i x i )= sinh m ( i=0 p α i x i )/ cosh n ( i=0 p α i x i ) , (1)

where J n,m ( i=0 p α i x i ) represents the implicit form of the function and,

sinh m ( i=0 p α i x i )/ cosh n ( i=0 p α i x i ) , the explicit form of the function.

α i ( i=0,1,2,,p ) represent the parameters associated with the independent variables x i ( i=0,1,2,,p ) . The pair ( n,m ) R 2 indicates the power of the function.

More precisely, n is the power of cosh( i=0 p α i x i ) and m the power of sinh( i=0 p α i x i ).

The function, as defined in relation (1), is also called the several variables iB-function and any derivative operation undertaken in this case is partial. For the majority of our demonstrations in this article, we will use the implicit functions with a single variable defined by

J n,m ( αx )= sinh m ( αx )/ cosh n ( αx ) , (2)

where J n,m ( αx ) represents the implicit form of the function, α is the parameter associated with the independent variable x . The pair ( n,m ) R 2 indicates the power of the function and it is also called indices of the implicit function.

2.1.2. Secondary Form of the iB-Function

The iB-function in its secondary form is defined by

T n,m ( i=0 p α i x i )= sin m ( i=0 p α i x i )/ cos n ( i=0 p α i x i ) , (3)

where T n,m ( i=0 p α i x i ) represents the secondary implicit form of the function.

sin m ( i=0 p α i x i )/ cos n ( i=0 p α i x i ) represents the secondary explicit form of the function.

α i ( i=0,1,2,,p ) represent the parameters associated with the independent variables x i ( i=0,1,2,,p ) . The pair ( n,m ) R 2 , the indices indicates the

power of the function. More precisely, n is the power of cos( i=0 p α i x i ) and the power of sin( i=0 p α i x i ) .

This function, as defined in the explicit form of relation (3) is a function of several variables and any derivative operation undertaken in this case is partial.

For demonstration purposes in this article, we will only use the following one-variable function

T n,m ( αx )= sin m ( αx )/ cos n ( αx ) , (4)

where T n,m ( αx ) represents the implicit form of the function, α represents the parameter associated with the independent variable x , the pair ( n,m ) R 2 indicates the power of the function.

The main form given by (1) and the secondary form in (3), for i 2 =1 , ( n,m ) R 2 , with an independent variable x are linked by relations:

J n,m ( ix )= ( i ) m T n,m ( x ), (5)

and

T n,m ( ix )= ( i ) m J n,m ( x ). (6)

These functions, beyond the fact that they are very flexible in the resolution of several physical problems, they make it possible to characterize the waves, and in particular the solitary waves. Thus, if the function obtained is the analytical sequence of a solitary wave, n indicates the order of the solitary wave and m indicates the type or nature of the wave. In some cases, the parameters α i can be associated with different spatial and temporal frequencies.

2.2. Some Properties

The properties related to these two forms of iB-functions are very numerous. We give some that will be used in the rest of the work to perform the calculations. So, for any real numbers n,m, n , m ,α,p and the independent variable x , we have:

J n,m p = J np,mp ,

J n,m . J n',m' = J n+n',m+m' ,

J n,m J n',m' = J nn',mm' ,

1 J n,m = J n,m ,

d J n,m ( αx ) dx =mα J n1,m1 ( αx )nα J n+1,m+1 ( αx ),

J 2n,2n = J 2,2 n = ( 1 J 2,0 ) n ,

J 2n,2n = J 2,2 n = ( 1 J 2,0 ) n = 1 ( 1 J 2,0 ) n ,

J n,n = J 2n,2n 1/2 = ( 1 J 2,0 ) n/2 ,

J n,n 2 = J 2,2 n ,

J n,n p = J p,p n ,

J n,m p = J np,mp  , pR.

J 0,2n = ( J 2,0 1 ) n J 0,2n = ( J 2,0 1 ) n ,

J 2n,0 = J 2,0 n = ( J 0,2 +1 ) n J 2n,0 = ( J 0,2 +1 ) n ,

T 0,0 ( x )=1,x0,

T 2,2 ( x )= T 2,0 ( x )1,

T 4,4 ( x )= ( T 2,0 1 ) 2 = T 4,0 ( x )2 T 2,0 ( x )+1,

T 2n,2n ( x )= ( T 2,0 1 ) n ,

p,n,mR,  T n,m p = T np,mp ,

p,nR,  T n,n p = T 1,1 np = T p,p n ,

n,m, n , m R,  T n,m . T n , m = T n+ n ,m+ m ,

n,m, n , m R,  T n,m / T n , m = T n n ,m m ,

d T n,m ( αx ) dx =mα T n1,m1 ( αx )+nα T n+1,m+1 ( αx ).

These are some common properties used in this work to calculate or decompose the function J n,m into simple elements.

2.3. Justification for the Choice of Ansatz Used

The choice of ansatz (1) and (2) to build possible solutions is not a matter of chance. Even if we don’t claim that this ansatz offers every form of solutions, we do know that they do offer a fair number. If we focus our attention on the expressions given by equations (1) and (3), we can see that the analytical sequences derived from these expressions change according to the real indices n,m and α i , which can be complex or real. We can go from form (1) to form (3) and vice versa using transformations (5) and (6). This simply means that instead of choosing the ansatz solution as given in equation (10), we could instead start by considering the form of solution to be constructed as ψ( ξ )=a T n,m ( ξ ), such that T n,m can be defined by (3). To return to the interest of the choice of ansatz, we consider the iB-function defined in dimension 1, i.e. admitting a single independent variable as

f n,m ( x )=a J n,m ( αx )= a sinh m ( αx )/ cosh n ( αx ) ,

where a is a real or complex constant, n and m are real constants and α can be complex or real. We try to assign some values to n , m and α , and to indicate the infinity of solution forms that can be claimed using this ansatz.

  • If ( n,m )=( 0,0 ), we have f 0,0 ( x )=a=cste,

  • If ( n,m )=( 1,2 ), α=2, we have f 1,2 ( x )=a J 1,2 ( 2x )=asech( 2x ) sinh 2 ( 2x ),

If ( n,m )=( 1,1 ), α=1, we have f 1,1 ( x )=a J 1,1 ( x )=acosh( x )sinh( x ),

  • If ( n,m )=( 0,1 ), α=3, we have f 0,1 ( x )=a J 0,1 ( 3x )=asinh( 3x ),

  • If ( n,m )=( 1,0 ), α=1, we have f 1,0 ( x )=a J 1,0 ( x )=asech( x ).

and so on, we have an infinite number of choices.

For α=i α 0 , α 0 R is pure imaginary, we have,

f n,m ( x )=a J n,m ( i α 0 x )=a ( i ) m T n,m ( α 0 x )=a ( i ) m sin m ( α 0 x )/ cos n ( α 0 x ) ,

For ( n,m )=( 1,1 ), α 0 =1, we get f 1,1 ( x )=ai T 1,1 ( x )=aicos( x )sin( x ),

  • For ( n,m )=( 0,1 ), α 0 =3, we get f 0,1 ( x )=ai T 0,1 ( x )=aisin( 3x ),

  • For ( n,m )=( 1,0 ), α 0 = 2 , we get f 1,0 ( x )=ai T 1,0 ( x 2 )=aisec( x 2 ),

  • For ( n,m )=( 2,2 ), α 0 =1, we get f 2,2 ( x )=a T 2,2 ( x )=a tan 2 ( x ).

In the same way, we can have an infinite number of solutions with the secondary form T n,m . We note that each of the above analytical sequences corresponds to a wave type. We can thus identify the analytical sequences corresponding to solitary waves of types kink, pulse etc., as well as the analytical sequences of progressive waves.

3. Equation of Range of Coefficients and Probabilities of Solutions

We have assumed in the context of this work that the waveguide (optical fiber) is immersed in a medium such that all the spatial variations are subject to variation coefficients n i ( i=1,,6 ) in order to better appreciate which variation is more determining for the signals or waves that can propagate there. These coefficients also make it possible to modify equation (7) to adapt it to a form that accepts exact solutions. The generalized nonlinear partial differential equations that model the propagation in such dispersive medium, more precisely a highly nonlinear flattened optical waveguide is given by [47]:

i ψ t +i n 1 ψ x + n 2 ψ xx +i n 3 ψ xxx + n 4 ψ xxxx +i n 5 ψ xxxxx + n 6 ψ xxxxxx +( γ 1 | ψ | 2 + γ 2 | ψ | 4 + γ 3 | ψ | 6 )ψ=0, (7)

where n i ( i=1,2,3,4,5,6 ) and γ i ( i=1,2,3 ) are the characteristic coefficients of the wave guide, x the spatial variable and t the temporal variable. To dwell slightly on Equation (7), it models the propagation dynamics in highly nonlinear and flattened optical fibers. The flattened character of the fiber is marked by the presence in the equation of dispersion terms of order greater than two, and obtained by increasing the order of the limited development, which initially leads to the basic Schrödinger equation. This equation, being the one which models the propagation dynamics in the majority of solid waveguides. Nonlinearity is also reinforced by the increase in nonlinear terms generated by different terms, associated with the intensity of the waveform considered during modeling. Here, in addition to cubic nonlinearity, we have added quintic and sceptic nonlinearity. To generalize the equation to any type of waveguide, we assumed that the wave propagates in a medium such that each variation is subject to a coefficient of variation ( n i ). The aim here being to broaden the field of reflection regarding the search for solutions and even verify the correctness of the solved Equation (7). If not, make the necessary corrections so that the equation admits the exact solutions from a purely mathematical angle.

By setting the change of variable ξ=xvt , where x is the spatial variable, v the group velocity of the wave and ξ the displacement in the proper space of the wave, the wave function sought becomes,

ψ( x,t )=ψ( ξ ). (8)

The ξ -transform is most often considered in physics to pass into the eigenspace of the wave. Under these conditions, Equation (7) becomes

i( n 1 ν ) ψ ξ + n 2 ψ ξξ +i n 3 ψ ξξξ + n 4 ψ ξξξξ +i n 5 ψ ξξξξξ + n 6 ψ ξξξξξξ +( γ 1 | ψ | 2 + γ 2 | ψ | 4 + γ 3 | ψ | 6 )ψ=0. (9)

We propose to construct the solutions of Equation (9) on the form

ψ( ξ )=a  J n,m ( ξ ), (10)

where a is a constant to be determined, J n,m ( ξ ) the iB-function and n , m the reals which characterize the implicit function to be determined. J n,m ( ξ ) is defined explicitly as J n,m ( ξ )= sinh m ( ξ )/ cosh n ( ξ ) [40] [41].

The insertion of relation (10) and its derivatives in Equation (9) leads to

ia( n 1 ν)[ m J n1,m1 n J n+1,m+1 ]+ n 2 a[ C 1 J n2,m2 C 2 J n,m + C 3 J n+2,m+2 ] +i n 3 a[ C 4 J n3,m3 C 5 J n1,m1 + C 6 J n+1,m+1 C 7 J n+3,m+3 ] + n 4 a[ C 8 J n4,m4 C 9 J n2,m2 + C 10 J n,m C 11 J n+2,m+2 + C 12 J n+4,m+4 ] +i n 5 a[ C 13 J n5,m5 C 14 J n3,m3 + C 15 J n1,m1 C 16 J n+1,m+1 + C 17 J n+3,m+3 C 18 J n+5,m+5 ] + n 6 a[ C 19 J n6,m6 C 20 J n4,m4 + C 21 J n2,m2 C 22 J n,m + C 23 J n+2,m+2 C 24 J n+4,m+4 + C 25 J n+6,m+6 ] +| a | a 2 γ 1 J 3n,3m +| a | a 4 γ 2 J 5n,5m +| a | a 6 γ 3 J 7n,7m =0. (11)

Equation (11) can also be written as follows

i[ ma( n 1 ν ) n 3 a C 5 + n 5 a C 15 ] J n1,m1 +i[ na( n 1 ν )+ n 3 a C 6 n 5 a C 16 ] J n+1,m+1 +[ n 2 a C 1 n 4 a C 9 + n 6 a C 21 ] J n2,m2 +[ n 2 a C 2 + n 4 a C 10 n 6 a C 22 ] J n,m

+[ n 2 a C 3 n 4 a C 11 + n 6 a C 23 ] J n+2,m+2 +i[ n 3 a C 4 a n 5 C 14 ] J n3,m3 +i[ n 3 a C 7 + n 5 a C 17 ] J n+3,m+3 +[ n 4 a C 8 n 6 a C 20 ] J n4,m4 +[ n 4 a C 12 n 6 a C 24 ] J n+4,m+4 i n 5 a C 13 J n5,m5 i n 5 a C 18 J n+5,m+5 + n 6 a C 19 J n6,m6 + n 6 a C 25 J n+6,m+6 + | a | 2 a γ 1 J 3n,3m + | a | 4 a γ 2 J 5n,5m + | a | 6 a γ 3 J 7n,7m =0. (12)

The quantities C j of equations (11) and (12) are given at the appendix.

Equation (12) is called the range of coefficients equation, that is to say a kind of central equation around which all the solutions are sought.

4. Pairs (n, m) Favoring the Grouping of Terms and Fields of Possible Solutions

Before going into the details that explain why the choices of n and m are made, we recall that equation (12) aims to determine a , n and m . Equation (12) consists of 16 terms in J nk,mk , J n+k,m+k with k=0,1,,6 , J 3n,3m , J 5n,5m and J 7n,7m and where n and m are real numbers. When the values of n and m are such that there is no possibility of grouping the terms of equation (12), then the equation admits solutions, if and only if the coefficients associated with the functions J nk,mk , J n+k,m+k , J 3n,3m , J 5n,5m and J 7n,7m with k=0,1,,6 are zero. This case leads to impose a=0 , i.e. J( ξ )=0 , which is a trivial solution.If there are values of the pairs ( n,m ) such that certain terms of Equation (12) are grouped together, then there are possibilities of finding values of a0 , synonymous with obtaining non-trivial solutions. Thus, finding the values of n and m for which certain terms of the coefficient range Equation (12) group together, allows to determine the following values:

n,m{ 3,5/2,2,3/2,5/4,1,5/6,3/4,2/3,1/2,1/3,1/4,1/6,0, 1/6,1/4,1/3,1/2,2/3,3/4,5/6,1,5/4,3/2,2,5/2,3 }. (13)

The values of n and m above, are obtained when for two terms c i J n,m ( ξ ) and c j J n , m ( ξ ) of the range Equation (12), we have the equalities n= n and m= m . In other words, obtaining the pairs ( n,m ) for which certain terms of Equation (12) are grouped is equivalent to assuming that the indices of the iB-functions of Equation (12) are equal. In this way, we can see that, to obtain the pair ( 1/2,1/2 ) , we need only to solve the following systems of equations

in n and m : { n1=3n m1=3m , { n2=5n m2=5m , and { n3=7n m3=7m .

That’s a total of 3 systems of equations solved out of a possible 42. In other words, from all the 42 systems of equations solved in order to determine the ( n,m ) pairs favoring groupings, the pair ( 1/2,1/2 ) appears three times. That is a probability of 3/42. The same work can be done for the other pairs ( n,m ) . On the basis of the 42 systems of equations solved to obtain the pairs which favor the grouping of the terms of the range Equation (12), the probabilities of appearance of the pairs are given as follow:

P( k,k )=1/42, for k{ 1/4 ,1/4 , 1/6 ,1/6 , 1/3 , 1/3 , 3/4 ,3/4 , 2/3 ,2/3 , 5/4 ,5/4 , 5/2 ,5/2 , 5/6 , 5/6 ,2,2,3,3 },

P( 3/2 , 3/2 )=P( 3/2 ,3/2 )=2/ 42 , P( 1/2 , 1/2 )=P( 1/2 ,1/2 )=P( 1,1 )=P( 1,1 )=3/ 42 , and P( 0,0 )=6/ 42 .

In reality, the values of n and m obtained above are values for which the solutions must be checked. All the values of n and m which are outside lead to trivial solutions [38] [39]. But among the values of n and m obtained, there are also values which lead to trivial solutions or to impossibilities. The widened field of research of the solutions is formed of the pairs resulting from the combination of the values of n and m given by Equation (13). Then, we have a field of possibilities of solutions formed by 729 pairs to analyze. But all pairs of the fielddo not lead to acceptable solutions. The greater the possibilities of grouping the terms of Equation (12) for a pair, the greater the probability of the pair leading to a non-trivial solution. Thus, in view of the above inventory of probabilities, the pairs of high probabilities that we retain for the sequel are ( 1,1 ) , ( 1/2 , 1/2 ) , ( 0,0 ) , ( 1/2 ,1/2 ) and ( 1,1 ) . Thus, these pairs are called dominant pairs such that the dominant values of n and m are given by

n,m{ 1, 1 2 ,0, 1 2 ,1 }. (14)

But since the pairs ( n,m ) are made up of the same numbers, the question is: what about the pairs made up of different numbers? To answer this question, we extend the dominant pairs ( n,m ) to a slightly larger set, called the restricted field of possible solutions.

Table 1. Restricted field of possible solutions.

( n,m )

1

1 2

0

1 2

1

1

( 1,1 )

( 1, 1 2 )

( 1,0 )

( 1, 1 2 )

( 1,1 )

1 2

( 1 2 ,1 )

( 1 2 , 1 2 )

( 1 2 ,0 )

( 1 2 , 1 2 )

( 1 2 ,1 )

0

( 0,1 )

( 0, 1 2 )

( 0,0 )

( 0, 1 2 )

( 0,1 )

1 2

( 1 2 ,1 )

( 1 2 , 1 2 )

( 1 2 ,0 )

( 1 2 , 1 2 )

( 1 2 ,1 )

1

( 1,1 )

( 1, 1 2 )

( 1,0 )

( 1, 1 2 )

( 1,1 )

This table contains 25 pairs ( n,m ) which will pass through a sieve of equation (12) to extract those leading to physically acceptable solutions.

5. Constraint Equations and Analytical Solutions

This sub-title is devoted to the introduction of the pairs ( n,m ) of the restricted possibilities table into the range Equation (12) in order to select those which lead to solutions. But since it is not easy to verify all the 25 pairs that make up the restricted table, we will limit ourselves to a few pairs.

Case ( n,m )=( 1,1 )

We obtain from Equation (12), the following equation

i[ a( n 1 ν )+8 n 3 a136 n 5 a ] J 2,2 +i[ a( n 1 ν )2 n 3 a+16 n 5 a ] J 0,0 +[ 2 n 2 a40 n 4 a+1236 n 6 a ] J 3,3 +[ 2 n 2 a+16 n 4 a272 n 6 a ] J 1,1 +i[ 6 n 3 a+240a n 5 ] J 4,4 +[ 24 n 4 a1680 n 6 a ] J 5,5 i[ 120 n 5 a ] J 6,6 +720 n 6 a J 7,7 + | a | 2 a γ 1 J 3,3 + | a | 4 a γ 2 J 5,5 + | a | 6 a γ 3 J 7,7 =0 (15)

Equation (15) can be written as

ia( n 1 +ν+8 n 3 136 n 5 ) J 2,2 +ia( n 1 ν2 n 3 +16 n 5 ) J 0,0 +ia( 6 n 3 +240 n 5 ) J 4,4 +a( 2 n 2 40 n 4 +1236 n 6 + γ 1 | a | 2 ) J 3,3 +a( 120 n 5 J 6,6 )+a( 2 n 2 +16 n 4 272 n 6 ) J 1,1 +a( 24 n 4 1680 n 6 + γ 2 | a | 4 ) J 5,5 +a( 720 n 6 + γ 3 | a | 6 ) J 7,7 =0. (16)

Equation (16) is verified if, for a0 .

We have the set of equations

n 1 +ν+8 n 3 136 n 5 =0, (17)

n 1 ν2 n 3 +16 n 5 =0, (18)

6 n 3 +240 n 5 =0, (19)

120 n 5 =0, (20)

2 n 2 40 n 4 +1236 n 6 + γ 1 | a | = 2 0, (21)

2 n 2 +16 n 4 272 n 6 =0, (22)

24 n 4 1680 n 6 + γ 2 | a | = 4 0, (23)

and

720 n 6 + γ 3 | a | = 6 0. (24)

From equations (17), (18), (19) and (20) we find

n 5 =0,  n 3 =0 and  n 1 =ν. (25)

Hence, equation (21) leads to

n 6 = 8 n 4 n 2 136 . (26)

In the other side, the substitution of equation (26) in equations (21) and (23) permits to obtain

120 n 2 552 n 4 =17 γ 1 | a | 2 , (27)

and

201 n 2 +1200 n 4 =17 γ 2 | a | 4 . (28)

From relations (27) and (28) the following constraint relation raises

γ 2 = 17 γ 1 2 ( 1200 n 4 201 n 2 ) ( 120 n 2 552 n 4 ) 2 . (29)

Equation (27) gives

| a |= 120 n 2 552 n 4 17 γ 1 ,  γ 1 ( 120 n 2 552 n 4 )0. (30)

We can therefore deduce from Equation (30) that,

a= 120 n 2 552 n 4 17 γ 1 exp( iθ ), θR. (31)

Inserting Equation (30) in Equation (24) yields

γ 3 = 720 n 6 ( 17γ ) 3 ( 120 n 2 552 n 4 ) 3 . (32)

The solution here is therefore given by:

ψ( x,t )= 120 n 2 552 n 4 17 γ 1 J 1,1 ( xνt )expiθ, θR. (33)

The trigonometric solution resulting from (33) can be obtained by using the transformation J n,m ( iξ )= ( i ) m T n,m ( ξ ) with T n,m ( ξ )= sin m ( ξ )/ cos n ( ξ ) where ξ is any variable, ( n,m ) R 2 and i 2 =1 . That is to say, the trigonometric equivalent solution associated to (33) is given by making the correspondence xix,  i 2 =1, and νiν, as follows,

ψ( x,t )=i 120 n 2 552 n 4 17 γ 1 cotan( xνt )expiθ, θR. (34)

Solutions (33) and (34) are solutions capable of propagating in the waveguide not exhibiting the dispersive effects of order three and order five. In these conditions, we have a waveguide with very low dispersion of order three and five. The equations which effectively governs the propagation of such signals is given by:

i ψ t +iν ψ x + n 2 ψ xx + n 4 ψ xxxx +( 8 n 4 n 2 136 ) ψ xxxxxx +( γ 1 | ψ | 2 + γ 2 | ψ | 4 + γ 3 | ψ | 6 )ψ=0. (35)

Case ( n,m )=( 1,0 )

For ( n,m )=( 1,0 ), the range equation of coefficients (12) becomes

+i[ a( n 1 ν )+5 n 3 a61 n 5 a ] J 2,1 +[ n 2 a+ n 4 a61 n 6 a ] J 1,0 i[ 120 n 5 a ] J 6,5 +[ 2 n 2 a28 n 4 a+662 n 6 a ] J 3,2 +i[ 6 n 3 a+180 n 5 a ] J 4,3 +[ 24 n 4 a+1320 n 6 a ] J 5,4 +720 n 6 a J 7,6 + | a | 2 a γ 1 J 3,0 + | a | 4 a γ 2 J 5,0 + | a | 6 a γ 3 J 7,0 =0. (36)

With use of the following transformations

J 3,2 = J 1,0 J 3,0 , J 4,3 = J 2,1 J 4,1 , J 5,4 = J 1,0 2 J 3,0 + J 5,0 , J 6,5 = J 2,1 2 J 4,1 + J 6,1 , and J 7,6 = J 1,0 3 J 3,0 +3 J 5,0 J 7,0 , Equation (36) can be written as

ia( n 1 +ν n 3 n 5 ) J 2,1 +ia( 6 n 3 +60 n 5 ) J 4,1 +ia( 120 n 5 ) J 6,1 +a( n 2 + n 4 + n 6 ) J 1,0 +a( 2 n 2 20 n 4 182 n 6 + γ 1 | a | 2 ) J 3,0 +a( 24 n 4 +840 n 6 + γ 2 | a | 4 ) J 5,0 +a( 720 n 6 + γ 3 | a | 6 ) J 7,0 =0. (37)

Equation (37) is verified if for a0 .

We have the set of equations

n 1 +ν n 3 n 5 =0, (38)

6 n 3 +60 n 5 =0, (39)

120 n 5 =0, (40)

n 2 + n 4 + n 6 =0, (41)

2 n 2 20 n 4 182 n 6 + γ 1 | a | = 2 0, (42)

24 n 4 +840 n 6 + γ 2 | a | = 4 0, (43)

and

720 n 6 + γ 3 | a | = 6 0. (44)

From Equations (38), (39) and (40) we obtain

n 5 =0;  n 3 =0, and  n 1 =ν. (45)

From Equation (41), we obtain

n 2 = n 4 n 6 . (46)

In other hands, the substitution of Equation (46) in Equations (42) and (43) permits to have

18 n 4 180 n 6 + γ 1 | a | 2 =0, (47)

and

24 n 4 +840 n 6 + γ 2 | a | 4 =0. (48)

The resolution of Equations (47) and (48) leads to

γ 2 = ( 24 n 4 +840 n 6 ) γ 1 2 ( 18 n 4 +180 n 6 ) 2 , (49)

and

| a |= 18 n 4 +180 n 6 γ 1 ,  γ 1 ( 18 n 4 +180 n 6 )0. (50)

At this level of analysis, we have two possible solutions: the case where a is real and the case where a is complex.

  • When a is real, we have

a=± 18 n 4 +180 n 6 γ 1 . (51)

  • When a is complex, there exist a real θ such that

a= 18 n 4 +180 n 6 γ 1 exp( iθ ), θR. (52)

The insertion of Equation (50) in Equation (44) also allows writing

γ 3 = 720 n 6 γ 1 3 ( 18 n 4 +180 n 6 ) 3 . (53)

The solutions in the cases where a is real and a is complex are respectively given by

ψ( x,t )= 18 n 4 +180 n 6 γ 1 J 1,0 ( xνt ), (54)

and

ψ( x,t )= 18 n 4 +180 n 6 γ 1 J 1,0 ( xνt )expiθ, θR. (55)

The following correspondences xix, νiν,  i 2 =1, allow to have respectively the trigonometric forms of the solutions (54) and (55) using the transformations J n,m ( iξ )= ( i ) m T n,m ( ξ ) as defined in the case of relation (33).

Hence we obtain,

ψ( x,t )= 18 n 4 +180 n 6 γ 1 sec( xνt ), (56)

and

ψ( x,t )= 18 n 4 +180 n 6 γ 1 sec( xνt )expiθ,θR. (57)

The above solutions are the exact solutions of the partial differential equation deduced from equation (7) and given below,

i ψ t +iν ψ x ( n 4 + n 6 ) ψ xx + n 4 ψ xxxx + n 6 ψ xxxxxx +( γ 1 | ψ | 2 + γ 2 | ψ | 4 + γ 3 | ψ | 6 )=0. (58)

Case ( n,m )=( 1,1 )

In this case, equation (12) is now written as

i[ a( n 1 ν )2 n 3 a16 n 5 a ] J 0,0 +i[ a( n 1 ν )+8 n 3 a136 n 5 a ] J 2,2 +720 n 6 a J 7,7 +[ 2 n 2 a+16 n 4 a272 n 6 a ] J 1,1 +[ 2 n 2 a40 n 4 a+1232 n 6 a ] J 3,3 +i[ 6 n 3 a+240 n 5 a ] J 4,4 +[ 24 n 4 a+1680 n 6 a ] J 5,5 +i[ 120 n 5 a ] J 6,6 + | a | 2 a γ 1 J 3,3 + | a | 4 a γ 2 J 5,5 + | a | 6 a γ 3 J 7,7 =0. (59)

By means of the following transformations

J 3,3 = J 1,1 J 3,1 , J 4,4 = J 0,0 2 J 2,0 + J 4,0 , J 5,5 = J 1,1 2 J 3,1 + J 5,1 , J 6,6 = J 0,0 3 J 2,0 +3 J 4,0 J 6,0 , and J 7,7 = J 1,1 3 J 3,1 +3 J 5,1 J 7,1 , Equation (59) is reduced to

ia( n 1 +ν+4 n 3 +16 n 5 ) J 2,0 +ia( 6 n 3 +120 n 5 ) J 4,0 +ia( 120 n 5 ) J 6,0 +a( γ 1 | a | + 2 γ 2 | a | 4 + γ 3 | a | 6 ) J 1,1 +a( 2 n 2 +8 n 4 +32 n 6 + γ 1 | a | + 2 2 γ 2 | a | 4 +3 γ 3 | a | 6 ) J 3,1 +a( 24 n 4 +480 n 6 + γ 2 | a | + 4 3 γ 3 | a | 6 ) J 5,1 +a( 720 n 6 + γ 3 | a | 6 ) J 7,1 =0. (60)

Equation (60) is checked if and only if, for a0 , we have the following equations

n 1 +ν+4 n 3 +16 n 5 =0, (61)

6 n 3 +120 n 5 =0, (62)

120 n 5 =0, (63)

γ 1 | a | 2 + γ 2 | a | 4 + γ 3 | a | 6 =0, (64)

2 n 2 +8 n 4 +32 n 6 + γ 1 | a | + 2 2 γ 2 | a | 4 +3 γ 3 | a | 6 =0, (65)

24 n 4 +480 n 6 + γ 2 | a | + 4 3 γ 3 | a | = 6 0, (66)

and

720 n 6 + γ 3 | a | = 6 0. (67)

From Equations (61), (62) and (63) we obtain

n 5 =0,  n 3 =0, and  n 1 =ν. (68)

The resolution of Equations (64), (65), (66) and (67) gives

n 2 =8 n 4 136 n 6 , (69)

| a |= 24 n 4 960 n 6 γ 1 ,  γ 1 ( 24 n 4 960 n 6 )0, (70)

and

γ 2 = ( 1680 n 6 24 n 4 ) γ 1 2 ( 24 n 4 960 n 6 ) 2 . (71)

Inserting Equation (70) in equation (67) gives

γ 3 = 720 n 6 γ 1 3 ( 24 n 4 960 n 6 ) 3 . (72)

We can also have in the case where a real and complex, the following solutions is:

ψ( x,t )=± 24 n 4 960 n 6 γ 1 J 1,1 ( xνt ), (73)

and

ψ( x,t )= 24 n 4 960 n 6 γ 1 J 1,1 ( xνt )expiθ,θR. (74)

The trigonometric solutions can also be deduced from solutions (73) and (74) by making correspondence

xix, νiν,  i 2 =1 .

So we get:

ψ( x,t )=±i 24 n 4 960 n 6 γ 1 tan( xνt ), (75)

and

ψ( x,t )=i 24 n 4 960 n 6 γ 1 tan( xνt )expiθ, θR (76)

The nonlinear and dispersive partial differential equation which governs the dynamics of propagation by means of the constraint equations held above is given by

i ψ t +iν ψ x +( 8 n 4 136 n 6 ) ψ xx + n 4 ψ xxxx + n 6 ψ xxxxxx +( γ 1 | ψ | 2 + γ 2 | ψ | 4 + γ 3 | ψ | 6 )ψ=0. (77)

The effectiveness of the approach used in this work also lies in the fact that the use of constraint equations linked to the coefficients n i ( i=1,,6 ) allow to reshape Equation (7) in the case ( n,m )=( 1,1 ) so that the solutions (33) and (34) are the exact solutions of the equation (35). For the case ( n,m )=( 1,0 ) , solutions (55) and (57) are the exact solutions of equation (58). For ( n,m )=( 1,1 ) we obtain Equation (77) which also admits for solutions the relations (74) and (76).

We note that the intensity of the solution (33) is a function of n 2 which is the dispersion coefficient of order 2, of n 4 which is the dispersion coefficient of order 4 and of the coefficient of cubic nonlinearity γ 1 . The intensity of the solution (54) also depends on the coefficient of dispersion n 4 , the coefficient of dispersion of order 6 ( n 6 ), and of the coefficient of cubic nonlinearity γ 1 . It is the same for the intensity of the solution (73) which depends on n 4 , n 6 and γ 1 . From the arrangement of the dispersion and nonlinearity coefficients in these solutions, we find that, as the dispersion coefficients increase, the intensity of the solution waves increases. The opposite effect occurs when the dispersion coefficients are small. As regards the nonlinearity coefficient, it contributes in increasing the intensity of the wave when it is small and produces the opposite effect when it increases. We also note that, only the coefficient of cubic nonlinearity, sufficiently impacts the solutions obtained and that the coefficients of quintic and septic nonlinearity have no effect on the solutions, at least for those obtained within the framework of this work.

To better explain the selective impact of dispersion and non-linearity coefficients on solutions, we first note that not all these coefficients are involved in solutions. If we take equation (50) as an example, we can see from Figure 1 that | a | decreases as γ 1 increases. On the other hand, Figure 2 shows that | a | increases

Figure 1. Variation of | a | as a function of nonlinear coefficient γ 1 ; (a): | a | given by (50) for n 4 =0.011 and n 6 =0.000179. (b): | a | given by (73) for n 4 =0.12 and n 6 =0.000179.

Figure 2. Variation of | a | as a function of dispersion coefficients n 6 and n 4 (a): | a | as a function of n 6 and given by (50) for γ 1 =0.12 and n 4 =0.012. (b): | a | as a function of n 4 and given by (50) for γ 1 =0.12 and n 6 =0.000179.

as n 4 or n 6 increases. But this conclusion is only valid for the cases chosen as examples. Under certain conditions, the dispersion coefficient can have a regressive effect on wave intensity. These findings, which are valid for these control cases above, are also valid for the other cases. The physical lesson that arises from these observations is that: the good or bad propagation of the signal in a transmission medium is closely linked to the properties of this medium.

6. Numerical Study

In this section, we use the split-step Fourier method [18] [19] to discretize nonlinear partial differential Equations (35), (58) and (77), and to propagate their corresponding solutions. Thus, the constraint relations between the coefficients of the terms of the nonlinear partial differential equations allowed choosing the values of the parameters. We organized this numerical study in two cases.

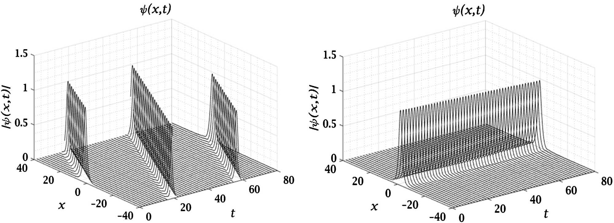
6.1. First Case

Figure 3. Propagation of the solitary wave (54) in Equation (58): The left profile is obtained for: n 1 =2.115,  n 4 =0.011,  n 6 =0.000179,  γ 1 =0.2, θ=π/2 ; the right profile is obtained for n 1 =0.005,  n 4 =0.011,  n 6 =0.000179,  γ 1 =0.2, and θ=π/2 .

6.2. Second Case

Figure 4. Propagation of the solitary wave (73) in equation (77): the left profile is obtained for: n 1 =3.122,  n 4 =0.012,  n 6 =0.000179,  γ 1 =0.01, and θ=π; the right profile is obtained for n 1 =2.5,  n 4 =0.011,  n 6 =0.000179,  γ 1 =1.4, and θ=π/2 .

The nonlinear partial differential Equation (77) is discretized so that the envelope ψ( x,t ) is given by the Relation (73). The profiles obtained are as follows

We have tested the practical feasibility of some of our results by studying the propagation of solutions (54) and (58) on one hand, and (73) and (77) on the other. Figure 3 and Figure 4 show some images of the waves captured during propagation.

7. Discussion and Conclusions

The work undertaken in this manuscript aimed to verify the impact of dispersion and nonlinearity on waves or signals. For this, we have chosen to take as control propagation medium, a flattened waveguide subject to strong dispersions and nonlinearities. Precisely to ensure that the dispersion is large enough for its effect to be significant on the signals or solutions considered.

On an analytical level, we have constructed a whole series of solutions of the nonlinear and dispersive partial differential equation which governs the dynamics of signal propagation. The search for these solutions on a case-by-case basis is not at all easy, we chose to use an ansatz solution based on the iB-function and which has the characteristic of generating several forms of solutions. It suffices for this, to attribute the values to the characteristic parameters and indices of the general function considered from the start, to realize this.

We obtained a field called field of possibility of solution gathering 729 pairs ( n,m ) which are pairs whose investigations on the equation of range of coefficients (12) should allow to detect mathematically non-trivial solutions and especially physically acceptable. But our previous studies have shown that all these 729 pairs do not lead to acceptable solutions and that only the pairs that appear the most during the searches, that is to say the pairs which favor a large number of grouping of terms in the range Equation (12) gives more chances of solutions. Galvanized by this fact, we have identified the preponderant pairs with high probabilities of appearance which allowed reducing the extended field of 729 pairs to a restricted field of 25 pairs. Thus, some pairs from the restricted field allowed obtaining solutions.

We realized that almost all the solutions for the studied cases do not support dispersions of order 3 and of order 5. In other words, the waveguide where there is almost no dispersion of order 3 and of order 5 or the waveguide whose dispersions of order 3 and 5 are very weak or negligible. Numerical figures to assess the practical feasibility of these solutions have been proposed.

We believe that our objective has been achieved because we can see analytically that the types of dispersion are favorable to specific types of waves or signals.

Beyond the fact that the experimental aspect of this work could further confirm the analytical results, these results simply demonstrate that the dosage of the properties of a waveguide can make it possible to determine the type of wave that one would like to propagate there. In another sense, good propagation of a signal in a waveguide is closely linked to the properties of the material that constitute it.

Within the framework of this work, we could not check all possibilities of solutions for the remaining pairs of Table 1, just because our main target was to show the impact of the waveguide properties on the wave solutions. So, we have considered three cases for demonstration. But we will deal with other cases in the next investigations.

The innovation of this work is multiple; firstly we highlight a revolutionary technique which makes it possible to find exact solutions to a complicated equation as the one which is at the center of our attention, namely equation (7). This technique, beyond correcting or modifying the equation in order to obtain the exact solutions, also makes it possible to check whether any solution to this equation is actually correct. Secondly, through our approach, we want to demonstrate that the properties of the optical fiber and any waveguide greatly influence the signal or the wave which propagates there. In other words, we want to demonstrate that the choice and control of the constituent properties of a waveguide can favor or disadvantage the propagation of a signal within it. The ultimate goal is to construct waveguides with specific properties and adapted to the propagation of specific waves, that is to say, to manufacture waveguides which bear the mention of the type of wave which propagates easily there. . This would enormously reduce instability phenomena. All this reflection because we are certain that secondary phenomena which accompany the waves during their propagation in the wave guides are mainly due to the constituents of these media and that taking them into account during manufacturing would bring a lot improvement on the quality of propagation. On a Mathematical level, we introduced notions of probability to locate the domain of probable solutions. Once the solutions were obtained, we numerically studied the propagation of some of them but without associating the effects of noise and interference. The prospects are also open for this purpose.

Data Availability Statement

All data that support the findings of this study are included within the article.

Appendix

With the fifth property of subsection 2.2 related to the iB-function, we obtained the following derivatives of ψ( ξ )=a  J n,m ( ξ ) .

ψ ξξ =a( C 1 J n2,m2 C 2 J n,m + C 3 J n+2,m+2 ),

ψ ξξξ =a( C 4 J n3,m3 C 5 J n1,m1 + C 6 J n+1,m+1 C 7 J n+3,m+3 ),

ψ ξξξξ =a( C 8 J n4,m4 C 9 J n2,m2 + C 10 J n,m C 11 J n+2,m+2 + C 12 J n+4,m+4 ),

ψ ξξξξξ =a( C 13 J n5,m5 C 14 J n3,m3 + C 15 J n1,m1 C 16 J n+1,m+1 + C 17 J n+3,m+3 C 18 J n+5,m+5 ),

ψ ξξξξξξ =a( C 19 J n6,m6 C 20 J n4,m4 + C 21 J n2,m2 C 22 J n,m + C 23 J n+2,m+2   C 24 J n+4,m+4 + C 25 J n+6,m+6 ),

where C i ( i=1,2,3,4,,25 ) given below, are function of n and m defined to make easier the computations.

C 1 =m( m1 );  C 2 =m( n1 )+n( m+1 ); C 3 =n( n+1 );  C 4 =( m2 ) C 1 ;   C 5 =( n2 ) C 1 +m C 2 ; C 6 =( n ) C 2 +( m+2 ) C 3 ;  C 7 =( n+2 ) C 3 ;  C 8 =( m3 ) C 4 ;  C 9 =( n3 ) C 4 +( m1 ) C 5 ; C 10 =( n1 ) C 5 +( m+1 ) C 6 ; C 11 =( n+1 ) C 6 +( m+3 ) C 7 ; C 12 =( n+3 ) C 7 ;  C 13 =( m4 ) C 8 ;

C 14 =( n4 ) C 8 +( m2 ) C 9 ;  C 15 =( n2 ) C 9 +m C 10 ;  C 16 =( n ) C 10 +( m+2 ) C 11 ; C 17 =( n+2 ) C 11 +( m+4 ) C 12 ;  C 18 =( n+4 ) C 12 ;  C 19 =( m5 ) C 13 ;  C 20 =( n5 ) C 13 +( m3 ) C 14 ; C 21 =( n3 ) C 14 +( m1 ) C 15 ;  C 22 =( n1 ) C 15 +( m+1 ) C 16 ; C 23 =( n+1 ) C 16 +( m+3 ) C 17 ; C 24 =( n+3 ) C 17 +( m+5 ) C 18 ;  C 25 =( n+5 ) C 18 .

Conflicts of Interest

The authors declare no conflicts of interest regarding the publication of this paper.

References

[1] Zabusky, N.J. and Kruskal, M.D. (1965) Interaction of “Solitons” in a Collisionless Plasma and the Recurrence of Initial States. Physical Review Letters, 15, 240-243.[CrossRef
[2] Hirota, R. (1971) Exact Solution of the Korteweg-de Vries Equation for Multiple Collisions of Solitons. Physical Review Letters, 27, 1192-1194.[CrossRef
[3] Mahgerefteh, D. and Menyuk, C.R. (1999) Effect of First-Order PMD Compensation on the Statistics of Pulse Broadening in a Fiber with Randomly Varying Birefringence. IEEE Photonics Technology Letters, 11, 340-342.[CrossRef
[4] Francia, C., Bruyere, F., Penninckx, D. and Chbat, M. (1998) PMD Second-Order Effects on Pulse Propagation in Single-Mode Optical Fibers. IEEE Photonics Technology Letters, 10, 1739-1741.[CrossRef
[5] Taki Djeumen Tchaho, C., Roger Bogning, J. and Crépin Kofané, T. (2012) Modulated Soliton Solution of the Modified Kuramoto-Sivashinsky’s Equation. American Journal of Computational and Applied Mathematics, 2, 218-224.[CrossRef
[6] Rahman, Z., Abdeljabbar, A., Harun-Or-Roshid and Ali, M.Z. (2022) Novel Precise Solitary Wave Solutions of Two Time Fractional Nonlinear Evolution Models via the MSE Scheme. Fractal and Fractional, 6, Article No. 444.[CrossRef
[7] Abdeljabbar, A., Roshid, H. and Aldurayhim, A. (2022) Bright, Dark, and Rogue Wave Soliton Solutions of the Quadratic Nonlinear Klein-Gordon Equation. Symmetry, 14, Article No. 1223.[CrossRef
[8] Potasek, M.J. and Agrawal, G.P. (1986) Power-Dependent Enhancement in Repeater Spacing for Dispersion-Limited Optical Communication Systems. Electronics Letters, 22, 759-760.[CrossRef
[9] Gomez, C.A., Roshid, H., Inc, M., Akinyemi, L. and Rezazadeh, H. (2022) On Soliton Solutions for Perturbed Fokas-Lenells Equation. Optical and Quantum Electronics, 54, Article No. 370.[CrossRef
[10] Bogning, J.R. (2018) Exact Solitary Wave Solutions of the (3+1) Modified B-Type Kadomtsev-Petviashvili Family Equations. American Journal of Computational and Applied Mathematics, 8, 85-92.
[11] Xie, Y., Yang, Z. and Li, L. (2018) New Exact Solutions to the High Dispersive Cubic-Quintic Nonlinear Schrödinger Equation. Physics Letters A, 382, 2506-2514.[CrossRef
[12] Takongmo, G.T. and Bogning, J.R. (2018) Construction of Solitary Wave Solutions of Higher-Order Nonlinear Partial Differential Equations Modeled in a Modified Nonlinear Noguchi Electrical Line. American Journal of Circuits, Systems and Signal Processing, 4, 8-14.
[13] Al-Amr, M.O., Rezazadeh, H., Ali, K.K. and Korkmazki, A. (2020) N1-Soliton Solution for Schrödinger Equation with Competing Weakly Nonlocal and Parabolic Law Nonlinearities. Communications in Theoretical Physics, 72, Article ID: 065503.[CrossRef
[14] Abdeljabbar, A., Hossen, M.B., Roshid, H. and Aldurayhim, A. (2022) Interactions of Rogue and Solitary Wave Solutions to the (2 + 1)-D Generalized Camassa-Holm-Kp Equation. Nonlinear Dynamics, 110, 3671-3683.[CrossRef
[15] Osman, M.S., Tariq, K.U., Bekir, A., Elmoasry, A., Elazab, N.S., Younis, M., et al. (2020) Investigation of Soliton Solutions with Different Wave Structures to the (2 + 1)-Dimensional Heisenberg Ferromagnetic Spin Chain Equation. Communications in Theoretical Physics, 72, Article ID: 035002.[CrossRef
[16] Salas, A.H. (2011) Computing Solutions to a Forced Kdv Equation. Nonlinear Analysis: Real World Applications, 12, 1314-1320.[CrossRef
[17] Bogning, J.R. (2024) Forced Kd Vequation for Tsunamis Generation: How to Choose the External Forces and Corresponding Solutions. Applied Sciences Research Periodicals, 2, 51-70.[CrossRef
[18] Roshid, M.M., Bairagi, T., Harun-Or-Roshid and Rahman, M.M. (2022) Lump, Interaction of Lump and Kink and Solitonic Solution of Nonlinear Evolution Equation Which Describe Incompressible Viscoelastic Kelvin-Voigt Fluid. Partial Differential Equations in Applied Mathematics, 5, Article ID: 100354.[CrossRef
[19] Agrawal, G. (2013) Highly Nonlinear Fibers. In: Nonlinear Fiber Optics, Elsevier, 457-496.[CrossRef
[20] Agrawal, G.P. (2012) Applications of Nonlinear Fiber Optics. Academic Press.
[21] Hasegawa, A. and Tappert, F. (1973) Transmission of Stationary Nonlinear Optical Pulses in Dispersive Dielectric Fibers. I. Anomalous Dispersion. Applied Physics Letters, 23, 142-144.[CrossRef
[22] Mollenauer, L.F., Stolen, R.H. and Gordon, J.P. (1980) Experimental Observation of Picosecond Pulse Narrowing and Solitons in Optical Fibers. Physical Review Letters, 45, 1095-1098.[CrossRef
[23] Shi, D., Rehman, H.U., Iqbal, I., Vivas-Cortez, M., Saleem, M.S. and Zhang, X. (2023) Analytical Study of the Dynamics in the Double-Chain Model of DNA. Results in Physics, 52, Article ID: 106787.[CrossRef
[24] Ahmad, J., Rani, S., Turki, N.B. and Shah, N.A. (2023) Novel Resonant Multi-Soliton Solutions of Time Fractional Coupled Nonlinear Schrödinger Equation in Optical Fiber via an Analytical Method. Results in Physics, 52, Article ID: 106761.[CrossRef
[25] Zhang, K. and Li, Z. (2023) Optical Soliton Solutions and Dynamic Behavior Analysis of Generalized Nonlinear Fractional Tzitzéica-Type Equation. Results in Physics, 52, Article ID: 106815.[CrossRef
[26] Nisar, K.S., Ilhan, O.A., Abdulazeez, S.T., Manafian, J., Mohammed, S.A. and Osman, M.S. (2021) Novel Multiple Soliton Solutions for Some Nonlinear PDEs via Multiple Exp-Function Method. Results in Physics, 21, Article ID: 103769.[CrossRef
[27] Malik, S., Almusawa, H., Kumar, S., Wazwaz, A. and Osman, M.S. (2021) A (2 + 1)-Dimensional Kadomtsev-Petviashvili Equation with Competing Dispersion Effect: Painlevé Analysis, Dynamical Behavior and Invariant Solutions. Results in Physics, 23, Article ID: 104043.[CrossRef
[28] Rahman, Z., Ali, M.Z., Harun-Or-Roshid, Ullah, M.S. and Wen, X. (2021) Dynamical Structures of Interaction Wave Solutions for the Two Extended Higher-Order Kdv Equations. Pramana, 95, Article No. 134.[CrossRef
[29] Bogning, J.R. (2015) Solitary Wave Solutions of the High-Order Nonlinear Schrodinger Equation in Dispersive Single Mode Optical Fibers. American Journal of Computational and Applied Mathematics, 4, 45-50.
[30] Qiu, D., Zhang, Y. and He, J. (2016) The Rogue Wave Solutions of a New (2 + 1)-Dimensional Equation. Communications in Nonlinear Science and Numerical Simulation, 30, 307-315.[CrossRef
[31] Kudryashov, N.A. (2019) General Solution of Traveling Wave Reduction for the Kundu-Mukherjee-Naskar Model. Optik, 186, 22-27.[CrossRef
[32] Peng, C., Zhang, F., Zhao, H. and Li, Z. (2022) New Optical Solitons in Bragg Grating Fibers for the Nonlinear Coupled (2 + 1)-Dimensional Kundu-Mukherjee-Naskar System via Complete Discrimination System Method. Advances in Mathematical Physics, 2022, Article ID: 8184270.[CrossRef
[33] Fendzi-Donfack, E., Nguenang, J.P. and Nana, L. (2021) On the Soliton Solutions for an Intrinsic Fractional Discrete Nonlinear Electrical Transmission Line. Nonlinear Dynamics, 104, 691-704.[CrossRef
[34] Agrawal, G.P. (1989) Super Continuum Laser Source. Springer-Verlag.
[35] Rezazadeh, H., Ullah, N., Akinyemi, L., Shah, A., Mirhosseini-Alizamin, S.M., Chu, Y., et al. (2021) Optical Soliton Solutions of the Generalized Non-Autonomous Nonlinear Schrödinger Equations by the New Kudryashov’s Method. Results in Physics, 24, Article ID: 104179.[CrossRef
[36] Han, L., Bilige, S., Zhang, R. and Li, M. (2020) Study on Exact Solutions of a Generalized Calogero-Bogoyavlenskii-Schiff Equation. Partial Differential Equations in Applied Mathematics, 2, Article ID: 100010.[CrossRef
[37] Ullah, M.S., Harun-or-Roshid, Alshammari, F.S. and Ali, M.Z. (2022) Collision Phenomena among the Solitons, Periodic and Jacobi Elliptic Functions to a (3 + 1)-Dimensional Sharma-Tasso-Olver-Like Model. Results in Physics, 36, Article ID: 105412.[CrossRef
[38] Bekir, A. and Zahran, E.H.M. (2021) Optical Soliton Solutions of the Thin-Film Ferro-Electric Materials Equation According to the Painlevé Approach. Optical and Quantum Electronics, 53, Article No. 118.[CrossRef
[39] Ngouo Tchinda, C. and Roger Bogning, J. (2020) Solitary Waves and Property Management of Nonlinear Dispersive and Flattened Optical Fiber. American Journal of Optics and Photonics, 8, 27-32.[CrossRef
[40] Bogning, J.R., Dongmo, C.J. and Tchawoua, C. (2021) The Probabilities of Obtaining Solitary Wave and Other Solutions in the Modified Noguchi Power Line. Journal of Mathematics Research, 13, 19-29.[CrossRef
[41] Bogning, J.R. (2019) Mathematics for Physics: The Implicit Bogning Functions & Applications. Lambert Academic Publishing.
[42] Bogning, J.R. (2019) Mathematics for Nonlinear Physics: Solitary Wave in the Center of the Resolution of Dispersive Nonlinear Partial Differential Equations. Dorrance Publishing Co.
[43] Xu, B. and Zhang, S. (2021) Riemann-Hilbert Approach for Constructing Analytical Solutions and Conservation Laws of a Local Time-Fractional Nonlinear Schrödinger Type Equation. Symmetry, 13, Article No. 1593.[CrossRef
[44] Xu, B., Zhang, Y. and Zhang, S. (2021) Line Soliton Interactions for Shallow Ocean Waves and Novel Solutions with Peakon, Ring, Conical, Columnar, and Lump Structures Based on Fractional KP Equation. Advances in Mathematical Physics, 2021, Article ID: 6664039.[CrossRef
[45] Zhang, S. (2007) Exact Solutions of a Kdv Equation with Variable Coefficients via Exp-Function Method. Nonlinear Dynamics, 52, 11-17.[CrossRef
[46] Zhang, S., Xu, B. and Zhang, H. (2014) Exact Solutions of a Kdv Equation Hierarchy with Variable Coefficients. International Journal of Computer Mathematics, 91, 1601-1616.[CrossRef
[47] Tchaho, C.T.D., Omanda, H.M., Mbourou, G.N., Bogning, J.R. and Kofané, T.C. (2021) Hybrid Dispersive Optical Solitons in Nonlinear Cubic-Quintic-Septic Schrödinger Equation. Optics and Photonics Journal, 11, 23-49.[CrossRef

Copyright © 2025 by authors and Scientific Research Publishing Inc.

Creative Commons License

This work and the related PDF file are licensed under a Creative Commons Attribution 4.0 International License.