A Meta-Analysis: Safety and Efficacy of Phacoemulsification with Goniosynechialysis versus Trabeculectomy for Acute Angle Closure Glaucoma in China

Abstract

Aim: The aim is to evaluate the safety and efficacy of phacoemulsification with goniosynechialysis versus trabeculectomy in the treatment of acute angle closure glaucoma (AACG) systematically. Methods: From January 1, 2000 to August 31, 2022, we searched PubMed, Science Citation Index Database, China National Knowledge Infrastructure, and Wanfang Database for pertinent material about the treatment of AACG with various operations. The imported literature was carefully vetted using the inclusion and exclusion criteria, assessed for quality, and the raw data were retrieved and integrated into EndNoteX9. For the meta-analysis, STATA 16.0 and RevMan 5.3 were used as the tools. Results: The meta-analysis includes 20 clinical investigations in all, involving 1463 eyes. The quality of the literature was rated as excellent and the data homogeneity among the studies was excellent based on the various study types that were included in the literature. According to a meta-analysis, phacoemulsification with goniosynechialysis is superior to trabeculectomy for treating acute angle-closure glaucoma because it results in improved postoperative visual acuity, lower intraocular pressure, a broader anterior chamber depth, and fewer complications. Conclusion: If conditions allow, phacoemulsification in conjunction with goniosynechialysis performs better than trabeculectomy in terms of visual acuity, intraocular pressure, anterior chamber depth, and comorbidities.

Share and Cite:

Lin, B. , Chen, L. and Li, D. (2023) A Meta-Analysis: Safety and Efficacy of Phacoemulsification with Goniosynechialysis versus Trabeculectomy for Acute Angle Closure Glaucoma in China. Open Journal of Ophthalmology, 13, 295-315. doi: 10.4236/ojoph.2023.133029.

1. Introduction

Primary angle-closure glaucoma (PACG) is the most prevalent form of glaucoma in China, and the majority of patients with PACG also have age-related cataracts [1] . Glaucoma is the most severe, permanent kind of blindness. A prevalent form of glaucoma in China and Asia, acute angle closure glaucoma (AACG) is distinguished by a fast onset, severe symptoms, and apparent nerve damage. The primary cause of AACG is an intumescent cataract that takes up too much space in the anterior segment in patients with microphthalmia. This causes pupillary block, iris bombe, and goniosynechia as well as an increase in intraocular pressure (IOP), which ultimately results in irreversible nerve injury [2] .

Angle-closure glaucoma can be treated surgically in a variety of ways [3] , and trabeculectomy is one of the most widely used filtering procedures. Establishing the eye’s external circulation canal and reestablishing the aqueous humor’s smooth drainage are the main goals of trabeculectomy [4] . However, in trabeculectomy, early postoperative choroid detachment, superficial anterior chamber, and ocular hypotension have all been reported. A common side effect of filter channel cicatrices is ocular hypertension [5] [6] . The use of antimetabolites in filtering operations raises the success rate but also increases the incidence of potential complications, including persistent ocular hypotension, thin-walled filtering bleb, and even endophthalmitis [7] . The angle of the anterior chamber was still close, and cataracts developed rapidly after filtering operations [8] . Short-term cataract surgery is necessary, which adds to the patient’s financial and mental stress [9] . The limited anterior segment space and microphthalmia are the primary anatomical features of angle-closure glaucoma. Phacoemulsification can simultaneously expand the Angle and deepen the anterior chamber [10] . Based on this, phacoemulsification and goniosynechialysis were developed [11] . Numerous medical professionals have carried out pertinent clinical investigations as a result of the recent rapid advancements in intraocular lens and cataract surgery technologies. It is found that phacoemulsification combined with goniosynechialysis can not only significantly improve vision [12] but also have fewer intraoperative and postoperative complications and lower demand for further surgery [13] , which is favored by the majority of ophthalmologists and patients, compared with trabeculectomy [14] . However, many scientists continue to hold that trabeculectomy or other filtering procedures have a better effect on enhancing aqueous fluid drainage. Based on this circumstance, we choose to use meta-analysis, the strongest form of clinical research evidence, to reach a more precise and trustworthy result and provide a more solid foundation for clinical diagnosis and therapy.

Only pertinent original literature with Chinese participants was considered in this analysis to better focus the results given the peculiarities of AACG and its high occurrence in China.

2. Method

This study was reported by the Preferred Reporting Items for Systematic Reviews and Meta-Analyses (PRISMA) [15] statements.

2.1. Search Strategy

The text was searched in PubMed, Science Citation Index Database (SCI), China National Knowledge Network (CNKI), and Wanfang Database from January 1, 2000 to August 31, 2022. The search strategies employed database specific subject headings and keywords for phacoemulsification, goniosynechialysis, acute angle-closure glaucoma, and trabeculectomy. Each strategy was structured to accommodate for database and platform specific terminology, and syntax.

2.2. Inclusion Criteria

1) Study type: Prospective or retrospective cohort study; 2) Subjects: Chinese patients diagnosed with acute angle-closure glaucoma; 3) Intervention measures: phacoemulsification + goniosynechialysis compared with trabeculectomy; 4) Outcome indicators: postoperative visual acuity, intraocular pressure, anterior chamber depth, and complication rate.

2.3. Exclusion Criteria

1) The study that the surgical method is not the only variable; 2) Studies without a control group; 3) Total sample size too small (less than 30 cases); 4) Low scores in literature quality assessment; 5) Rereview articles, letters, and comments; 6) Non-clinical research, such as molecular biology research, animal model research, etc; 7) Lack of data, fuzzy and uncollectible research; 8) Republished studies based on the same data.

2.4. Statistical Analysis

Two evaluators independently read the literature and extracted data using inclusion and exclusion criteria. Age, gender, sample size, follow-up time, surgical technique, preoperative visual acuity, intraocular pressure, and anterior chamber depth; postoperative visual acuity, intraocular pressure, and anterior chamber depth are among the contents. The name of the primary (first) author, publication year, language of publishing, and genre of research are also included. Using the Newcastle-Ottawa Scale (NOS) and the Cochrane Manual of Systematic Review 5.1, the literature quality of prospective controlled trials and retrospective cohort studies was evaluated.

With the use of RevMan5.3 and STATA16.0, a meta-analysis was carried out. The heterogeneity was tested using the Cochran Q test, and the I2 statistic was utilized to determine the heterogeneity’s quantitative size. The original data from the included literature could be judged to have little heterogeneity when I2 < 50%, which is when Q test P > 0.1, and the Fixed effect model was used to integrate the original data. If I2 ≥ 50%, or Q test P ≤ 0.1, it means that there is significant heterogeneity in the original data of the included literature and that the Random effect model should be used to integrate the original data. The results of the sensitivity analysis performed with STATA software were also employed in this study to determine whether the theoretical results and the part’s heterogeneity changed when one or more publications were eliminated. If changes take place, the heterogeneity’s origin should be investigated. In this study, measuring data were represented by Weighted Mean Difference (WMD) and 95% Confidence Interval (CI), whereas counting data were represented by odds ratio (OR) and 95% CI. Forest maps were used to display the meta-analysis’s findings. The publishing bias funnel plot is used to assess. The Egger test will be used for objective computation and analysis to avoid faulty subjective interpretation when the funnel plot is erratic and challenging to understand. P < 0.05 is regarded to be statistically significant, indicating the presence of publication bias.

3. Results

3.1. Search Results

20 literary works from 2011 to 2022 were eventually included in the meta-analysis, as follows: Guoying Liu 2017 [16] , Siyi Zhang 2016 [17] , Zhaorong Zeng 2013 [18] , Zaifang Wang 2019 [19] , Kun Wang 2019 [20] , Jili Chen 2017 [21] , Canhua Huang 2019 [22] , Ayinuer 2015 [23] , Tang Y 2012 [24] , Zhang H 2016 [12] , Yanjun Huang 2011 [25] , Kai Ma 2015 [26] , Tian Yang 2019 [27] , Lianrong Su 2013 [28] , Ning Ma 2018 [29] , Chaohua Huang 2018 [30] , Yufei Cai 2021 [31] , Qingzhi Wang 2020 [32] , Shuifeng Deng 2021 [33] , Yongqiang Liang 2013 [34] . Figure 1 depicts the literature screening procedure. Table 1 provides a summary of these studies’ features.

The Cochrane Manual of Systematic Review 5.1 was used to assess the quality of the literature for prospective controlled trials. Additionally, the Newcastle-Ottawa Scale (NOS) was employed to assess the quality of the literature for retrospective cohort studies. The Cochrane quality evaluation results were all medium-high quality (see Figure 2 and Figure 3). In the retrospective analysis, Tang Y and Yongqiang Liang’s paper received high marks through the Newcastle-Ottawa Scale. They scored eight stars in four categories: selection, comparability, exposure, and outcome.

3.2. Meta-Analysis Results

3.2.1. Preoperative Visual Acuity

This section has 15 literary works with 1113 eyes in total. Since I2 = 0% and the difference between the experimental group and the control group was not seen before surgery (WMD = −0.01, 95% CI [−0.02, 0.00], P = 0.17), a fixed effect model was chosen for data integration. This means that there was no statistically significant difference in the two groups’ preoperative visual acuity. Therefore, it can be said that the experimental group and the control group did not have different preoperative baseline IOP. Figure 4 depicts the Forest map. I2 = 0% indicates that the original data had little heterogeneity, hence no sensitivity analysis was necessary. The funnel plot, which can be found in Figure 5, revealed that

Figure 1. PRISMA flow diagram of study.

Table 1. Summary of the characteristics of the included studies.

Abbreviations: RCT: randomized controlled trial; P + G: phacoemulsification combined with goniosynechialysis; T: trabeculectomy; BCVA: best corrected visual acuity; IOP: intra-ocular pressure; ACD: anterior chamber depth; N/A: not available, SD: standard deviation.

the data distribution across 15 pieces of literature was uniform and symmetrical, indicating no publication bias and demonstrating the veracity and dependability of each study’s preoperative vision data.

3.2.2. Preoperative Intraocular Pressure

There were 20 pieces of literature totaling 1463 eyes. The data were integrated

Figure 2. Assessment of the risk of bias in included studies. A Risk of bias summary: review authors’ judgments about each risk of bias item for each included study. +: low risk of bias; −: high risk of bias; blank: unclear risk of bias.

Figure 3. Risk of bias graph: review authors’ judgments about each risk of bias item presented as percentages across all included studies.

Figure 4. Forest map of preoperative visual acuity’s comparison between the experimental group and control group.

Figure 5. Funnel plot of preoperative visual acuity’s comparison between the experimental group and control group.

using a fixed effect model since I2 = 40%, and no difference between the experimental group and the control group was seen before surgery (WMD = −0.12, 95% CI [−0.53, 0.29], P = 0.56). Preoperative IOP did not differ statistically between the two groups. In other words, there was no discernible change in preoperative intraocular pressure between the experimental group and the control group. Figure 6’s forest map illustrates this point. Although there is no clear publication bias, the funnel plot created (see Figure 7) demonstrates that the data distribution of 20 pieces of literature is largely uniform and symmetrical, demonstrating the accuracy and reliability of all studies’ preoperative IOP data.

3.2.3. Preoperative Anterior Chamber Depth

This section featured 12 literary works with a total of 808 eyeballs. A fixed effect model was chosen for data integration since I2 = 0%. There was no statistically significant difference in preoperative anterior chamber depth between the two groups (WMD = −0.03, 95% CI [−0.06, 0.00], P = 0.10), that is, there was no difference in preoperative anterior chamber depth between the experimental group and the control group. This means that there is no distinction between the experimental group and the control group in terms of preoperative anterior chamber depth. The forest map is shown in Figure 8. I2 = 0% indicated that the original data had little heterogeneity, hence sensitivity analysis was not required. The funnel plot, which can be found in Figure 9, revealed that the data from 12 pieces of literature were uniformly distributed and had high symmetry, indicating no clear publication bias and demonstrating the validity and reliability of each study’s preoperative depth data.

3.2.4. Postoperative BCVA

15 articles in total documented the postoperative visual acuity in 1113 eyes. A random-effects model was used to integrate the data because I2 = 92% and the results showed a significant difference between the experimental group and the control group (WMD = 0.20, 95% CI [0.13, 0.26], P < 0.00001). In Figure 10, the forest map was displayed.

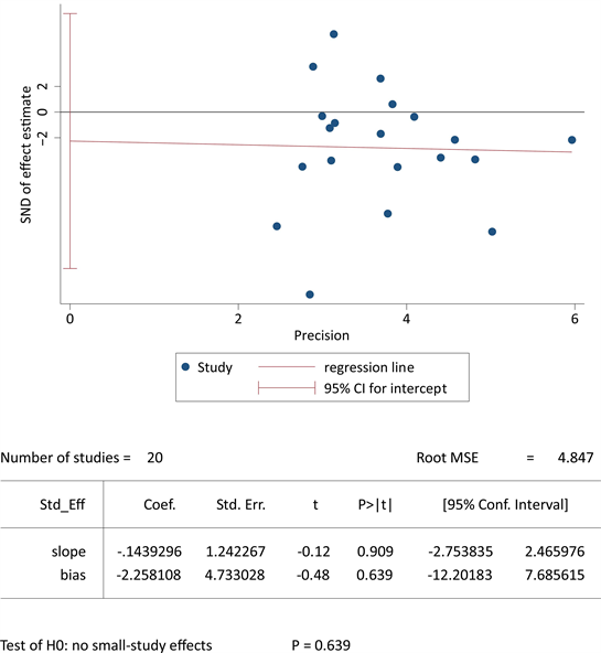
Due to the substantial heterogeneity of this portion of the data, sensitivity analysis was carried out by eliminating each piece of literature one at a time. No matter which literature was excluded, it was discovered that the data heterogeneity remained unaffected significantly (I2 > 50%), and the findings were in agreement. The Egger test (see Figure 11) was used to assess and achieve P > 0.05, suggesting that the conclusion of this portion is reliable. At this moment, it is too subjective to interpret publication bias via funnel plot, thus the Egger test was utilized. We discovered that there is a significant MEAN difference between various literary works when combined with the forest map. Due to the degree of different surgeons or measurement techniques, it resulted in a large variability of the conclusions. And clinical heterogeneity can be a factor. In the meantime, the timing of visual acuity data following surgery varied depending on the results of different investigations. So there is some statistical heterogeneity. However the

Figure 6. Forest map of preoperative IOP’s comparison between the experimental group and control group.

Figure 7. Funnel plot of preoperative IOP’s comparison between the experimental group and control group.

Figure 8. Forest map of preoperative ACD’s comparison between the experimental group and control group.

Figure 9. Funnel plot of preoperative ACD’s comparison between the experimental group and control group.

Figure 10. Forest map of postoperative BCVA’s comparison between the experimental group and control group.

starting point of preoperative data collection in all pieces of literature was the same, so no high heterogeneity was observed.

3.2.5. Postoperative IOP

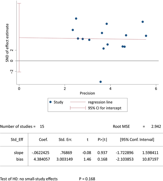
In 20 investigations, the postoperative IOP was observed in 1463 eyes. I2 = 98% allowed for the application of a random-effects model, which indicated that the difference between the experimental group and the control group was statistically significant (WMD = −2.30, 95% CI [−4.05, −0.55], P = 0.001). In other words, phacoemulsification plus goniosynechialysis produced a lower postoperative IOP than trabeculectomy. In Figure 12, the forest map is displayed. The sensitivity analysis by eliminating literature one by one found that the data heterogeneity was almost unchanged due to the high heterogeneity of this part of

Figure 11. Egger test of postoperative BCVA’s comparison between the experimental group and control group.

Figure 12. Forest map of postoperative IOP’s comparison between the experimental group and control group.

the data, that is, the conclusions were always consistent although I2 > 50%. It was still challenging to understand funnel plots due to the influence of subjectivity. So the Egger test (see Figure 13) was analyzed and concluded that P > 0.05, indicating that there was no obvious publication bias in this part. It means the conclusion was reliable.

The study’s findings imply that the trabecular tissue and atrial angle of the anterior chamber, which were reopened after a brief adhesion, continue to function well in terms of aqueous humor outflow. As opposed to a trabeculectomy, this procedure sacrifices the trabecular network and atrial angle of the anterior chamber, which still has a chance to reopen shortly. Additionally, some of the trabecular network tissue is taken to create internal and external circulation. This exterior drainage operation is temporary, though. Since the underlying cause of pupillary obstruction has not been addressed, cataract removal is still urgently required, and maintaining functional follicles over the long term is likewise very difficult.

3.2.6. Postoperative Anterior Chamber Depth

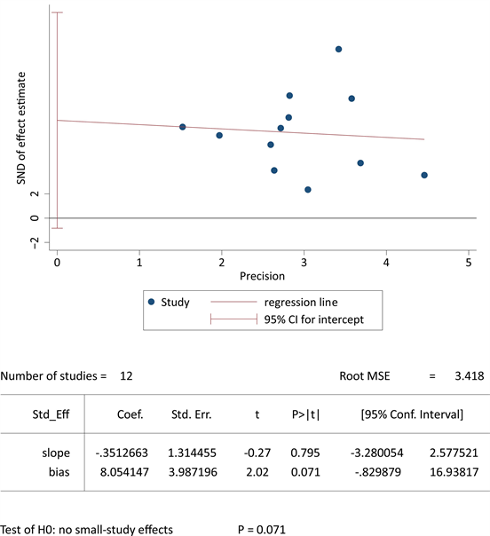
12 articles with an 808 eye total recorded postoperative anterior chamber conditions. Because I2 was 97%, a random effects model was applied to the data (WMD = 1.02, 95% CI [0.70, 1.34], P < 0.00001). The results showed that there was a statistically significant difference between the experimental group and the control group, indicating that phacoemulsification may achieve a greater anterior chamber depth than trabeculectomy. In Figure 14, the forest map is displayed.

The data of this part is highly heterogeneous. Because of I2 > 50%, we remove the paper one by one. It is found that the data heterogeneity is almost unchanged through the sensitivity analysis, meaning that the results are always reliable. So we still use the Egger test (Figure 15) to analyze and get P > 0.05. This shows that the conclusion is accurate. The results of this part are calculated by the difference in anterior chamber depth formed after surgery between the two surgical methods. It can be observed that patients’ postoperative anterior chamber depth is relatively consistent when performing phacoemulsification, while patients undergoing trabeculectomy in different pieces of literature have large heterogeneity, which ultimately results in I2 > 50% of the results in this part, again clinically heterogeneous.

3.2.7. Postoperative Complication

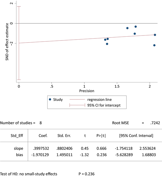
Postoperative complications were recorded in 693 eyes from 8 studies. A fixed effect model was used to integrate data (WMD = 0.35, 95% CI [0.22, 0.54], P < 0.00001) due to I2 = 0%, suggesting that the difference between the experimental group and the control group was statistically significant, that is, the incidence of postoperative complications of AACG treated by phacoemulsification was lower than that of trabeculectomy. The forest is shown in Figure 16.

The amount of literature covered in this section was under 10, yet neither the funnel plot (Figure 17), nor the Egger test (Figure 18) revealed any evidence of a major publication bias, indicating the reliability of this section’s findings.

Figure 13. Egger test of postoperative IOP’s comparison between the experimental group and control group.

Figure 14. Forest map of postoperative ACD’s comparison between the experimental group and control group.

4. Discussion

This meta-analysis looked at 20 pieces of literature in total to see whether phacoemulsification and goniosynechialysis were more effective than trabeculectomy for treating AACG when the situation allowed. Additionally, it assesses the

Figure 15. Egger test of postoperative ACD’s comparison between the experimental group and control group.

Figure 16. Forest map of complication’s comparison between the experimental group and control group.

effectiveness of preoperative and postoperative IOP, anterior chamber depth, surgical complications, and other parameters. Large amounts of unique data were incorporated in comparison to earlier studies of a similar nature, provided that the research objectives were comparable. After a rigorous screening process, 20 original literary works were still included in the study, which might strengthen

Figure 17. Funnel plot of complication’s comparison between the experimental group and control group.

Figure 18. Egger test of complication’s comparison between the experimental group and control group.

the study’s validity. Of course, it is necessary to examine different biases. At the same time, considering that this study only includes relevant original literature whose research objects are Chinese, it inevitably contains a considerable degree of publication bias. Additionally, along with pertinent search restrictions, it is another potential weakness of this study.

AACG is frequently related to cataracts because there is a connection between the onset of AACG and cataracts: lens dilation causes the anterior chamber space to narrow and the atrial angle to close, which further obstructs the flow of aqueous humor and causes glaucoma to develop [2] . There are several surgical treatment options available for AACG currently [3] , however, phacoemulsification combined with goniosynechialysis and trabeculectomy are the most frequently used in clinical settings. While trabeculectomy addresses the issue by altering the natural anatomical structure of the eyeball to create a new aqueous humor drainage shortcut, cataract phacoemulsification combined with goniosynechialysis restores the physiological external aqueous humor drainage by removing the lens pupil barrier. Both approaches have advantages, and numerous academics have carried out pertinent studies, but the results are not all in agreement. To provide more trustworthy guidance and a more solid foundation for clinical diagnosis and therapy, this study chose to acquire credible clinical data and conclusions by meta-analysis.

Through extensive data gathering and comparison, this study discovered that trabeculectomy performed worse than cataract phacoemulsification with goniosynechialysis for treating AACG in terms of vision, IOP, anterior chamber depth, and comorbidities. The study discovered that postoperative visual acuity, IOP, and anterior chamber depth exhibited significant heterogeneity due to the huge number of included data, inconsistent postoperative observation period, and various degrees of surgeons. The data may be regarded as genuine because the conclusions remained the same following sensitivity analysis and there was no publication bias. However, not all AACG patients recommend cataract surgery. The majority of researchers in the original literature grouped patients based on this, doing trabeculectomy on those with clear lenses and phacoemulsification plus goniosynechialysis on those with cloudy cataracts. However, it was discovered in the Early Lens Extraction for the Treatment of Primary Angle-Closure Glaucoma (EAGLE) study [35] that Phacectomy is still useful in PACG patients with high intraocular pressure [36] [37] , even the transparent lens. However, this approach is not appropriate for China. The approach of treating angle-closure glaucoma by removing the transparent lens is expected to progressively gain acceptance from the general public as more and more presbyopia patients now elect early binocular refractive cataract surgery. As a result, when situations allow, we feel that phacoemulsification combined with goniosynechialysis has significant benefits in the treatment of AACG, which we intend to highlight through our meta-analysis. For patients with AACG, we may try to finish initial therapy with phacoemulsification and goniosynechialysis, and then conduct trabeculectomy if the intraocular pressure still does not reach the optimal level. Of course, we believe that experienced doctors will opt to combine the two surgeries at the appropriate time.

Acknowledgements

Thanks to all the workers in this study.

Availability of Data and Materials

The datasets used or analyzed during the current study are available from the corresponding author upon reasonable request.

Funding

This study was supported by the Xiamen Municipal Bureau of Science and Technology (3502Z20224ZD1206).

Authors’ Contributions

BL carried out the design and coordinated the study, participated in most of the experiments, and prepared the manuscript. LLC assist in the design of the study, coordinated and carried out all the experiments, and participated in manuscript preparation. DKL assisted with all experiments. All authors have read and approved the content of the manuscript.

Conflicts of Interest

The authors declare no conflicts of interest.

References

[1] Wang, T. (2016) Several Notable Problems in Combined Surgery on Coexisting Cataract and Glaucoma. Chinese Journal of Ophthalmology and Otorhinolaryngology, 16, 174-178. (In Chinese)
[2] Huang, C., Zhao, Y., Wang, M. and Yu, Y. (2019) Comparison of Phacoemulsification Combined with Angle Separation and Trabeculectomy in Acute Angle-Closure Glaucoma Complicated with Cataract. International Eye Science, 19, 418-421. (In Chinese)
[3] Liang, Y.B., Wang, N.L., Rong, S.S. and Thomas, R. (2015) Initial Treatment for Primary Angle-Closure Glaucoma in China. Journal of Glaucoma, 24, 469-473.
[CrossRef
[4] Wu, Z.Y. and Fang, Z.J. (2017) Clinical Value of Different Surgeries in the Treatment of Angle Closure Glaucoma with Cataract. International Eye Science, 17, 1285-1288. (In Chinese)
[5] Chen, X.L., Bin, L. and Xu, Z.K. (2018) Clinical Observation of Mitomycin and 5-Fluorouracil with Adjustable Sutural Trabeculectomy for Glaucoma. International Eye Science, 18, 1906-1908. (In Chinese)
[6] Jacobi, P.C., Dietlein, T.S. and Krieglstein, G.K. (1999) Primary Trabeculectomy in Young Adults: Long-Term Clinical Results and Factors Influencing the Outcome. Ophthalmic Surgery, Lasers and Imaging Retina, 30, 637-646.
[CrossRef
[7] Franks, W.A. and Hitchings, R.A. (1991) Complications of 5—Fluorouracil after Trabeculectomy. Eye, 5, 385-389.[CrossRef] [PubMed]
[8] Liu, Y.Z., Ge, J. and Cheng, B. (2000) Clinical Observation of Phacoemulsification Cataract Aspiration after Anti-Glaucoma Filtration. Chinese Journal of Ophthalmology, 36, 435-437. (In Chinese)
[9] Xu, W.P., Hong, W. and Zhu, J.G. (2016) Research on Surgical Methods for Angle-Closure Glaucoma with Different Closure Conditions Accompanied with Cataract. International Eye Science, 16, 1099-1101. (In Chinese)
[10] Wei, L., Fu, L., Nie, L., Lian, H., Qian, Z., Liang, Y., et al. (2022) Efficacy of Combined Phacoemulsification and Goniosynechialysis in Primary Angle Closure Disease with Different Degrees of Peripheral Anterior Synechiae. Journal of Glaucoma, 31, 540-546.[CrossRef
[11] Chen, J. and Zou, Y. (2013) Endoscope-Assisted Goniosynechialysis Combined with Phacoemulsification and Intraocular Lens Implantation To Manage Primary Angle-Closure Glaucoma. International Journal of Ophthalmology, 6, 174-177.
[12] Zhang, H., Tang, G. and Liu, J. (2016) Effects of Phacoemulsification Combined with Goniosynechialysis on Primary Angle-closure Glaucoma. Journal of Glaucoma, 25, e499-e503.[CrossRef
[13] White, A.J., Orros, J.M. and Healey, P.R. (2013) Outcomes of Combined Lens Extraction and Goniosynechialysis in Angle Closure. Clinical & Experimental Ophthalmology, 41, 746-752.[CrossRef] [PubMed]
[14] Fakhraie, G., Vahedian, Z., Moghimi, S., Eslami, Y., Zarei, R. and Oskouee, J.F. (2012) Phacoemulsification and Goniosynechialysis for the Management of Refractory Acute Angle Closure. European Journal of Ophthalmology, 22, 714-718.
[CrossRef] [PubMed]
[15] Page, M.J., McKenzie, J.E., Bossuyt, P.M., Boutron, I., Hoffmann, T.C., Mulrow, C.D, et al. (2021) The PRISMA 2020 Statement: An Updated Guideline for Reporting Systematic Reviews. BMJ, 372, Article No. n71.[CrossRef] [PubMed]
[16] Liu, G.Y. (2017) To Compare the Effect of Two Surgical Treatments on Primary Acute Angle Closure Glaucoma. World Latest Medicine Information, 17, 29-30. (In Chinese)
[17] Zhang, S.Y., Gao, W., Chen, L., Liu, L., Wang, P. and Yuan, Z.Q. (2016) Phacoemulsiifcation and Intraocular Lens Implantation in the Treatment of Acute Efifcacy and Safety Evaluation of Patients with Closed Angle Glaucoma. Chinese Journal of Medicine, 51, 69-72. (In Chinese)
[18] Zeng, Z.R., Lu, M., Ming, G.Y. and Wang, J. (2013) Effect of Different Surgeries on Treatment of Acute Angle-Closure Glaucoma and Cataract. Journal of Hainan Medical University, 19, 687-689. (In Chinese)
[19] Wang, Z.F. (2019) Effect of Phacoemulsification Combined with Angle Separation in the Treatment of Acute Primary Angle-Closure Glaucoma. Electronic Journal of Clinical Medicine Literature, 6, 31-32. (In Chinese)
[20] Wang, K. (2016) Therapeutic Effects of Two Kinds of Treatment on Acute Angle Closure Glaucoma. China Continuing Medical Education, 8, 114-115. (In Chinese)
[21] Chen, J.L. (2017) Comparison of Curative Effect of Different Operation Methods in the Treatment of Acute Angle-Closure Glaucoma Combined with Cataract. Contemporary Medical Symposium, 15, 19-20. (In Chinese)
[22] Huang, C.H. and Wang, J.L. (2019) Observation of the Effect of Phacoemulsification on Acute Angle-Closure Glaucoma. Guide of China Medicine, 17, 82-83. (In Chinese)
[23] Aynur, A., Sun, Y., Qin, Y.L. and Liu, L.M. (2015) Comparison of Two Surgical Methods for Treatment of Acute Angle Closure Glaucoma. World Latest Medicine Information, 15, 46-47. (In Chinese)
[24] Tang, Y., Qian, S., Wang, J., Yao, J., Xu, J., Cheng, L., et al. (2012) Effects of Combined Phacoemulsification and Viscogoniosynechialysis versus Trabeculectomy in Patients with Primary Angle-Closure Glaucoma and Coexisting Cataract. Ophthalmologica, 228, 167-173.[CrossRef] [PubMed]
[25] Huang, Y.J., Liu, F., Shao, D.P., Yang, X.R., Li, Y.B. and Li, M.C. (2011) Phacoemulsification Combined with Goniosynechialysis in the Management of Primary Acute Angle-Closure Glaucoma. International Eye Science, 11, 611-613. (In Chinese)
[26] Ma, K., Wang, W., Cui, B.J. and Tao, L.M. (2015) Study on the Treatment of Acute Angle-Closure Glaucoma by Phacoemulsification Combined with Atrial Angle Separation. Anhui Medical and Pharmaceutical Journal, No. 9, 1742-1744. (In Chinese)
[27] Yang, T., Wang, C.L., Wu, P.P. and Liu, X.Q. (2019) Effect of Cataract Phacoemulsification Combined with Atrial Angle Separation and Trabeculectomy on Patients with Acute Angle-Closure Glaucoma. Chinese Journal of Medical Device, 32, 108-109. (In Chinese)
[28] Su, L.R., Li, Q. and Wei, H.X. (2013) Comparison of Efficacy of Procedures in the Treatment of Acute Angle-Closure Glaucoma. International Eye Science, 13, 1181-1183. (In Chinese)
[29] Ma, N. (2018) Comparison of the Efficacy of Two Combined Surgical Methods in the Treatment of Acute Angle-Closure Glaucoma Combined with Cataract. Electronic Journal of Clinical Medical Literature, 5, 25-26. (In Chinese)
[30] Huang, C.H. (2018) Influence of Comprehensive Nursing Intervention on Mental State and Quality of Life of Stroke Patients. Contemporary Medicine, 24, 24-26. (In Chinese)
[31] Cai, Y.F. (2021) Effect Analysis of Phacoemulsification Combined with Angle Separation in the Treatment of Acute Angle-Closure Glaucoma with Persistent Intraocular Hypertension. China Practical Medicine, 16, 107-109. (In Chinese)
[32] Wang, Q.Z., Xiong, T. and Li, M.G. (2020) Application Value of Phacoemulsification and Intraocular Lens Implantation Combined with Goniosynechialysisin in Patients with Acute Primary Angle-Closure Glaucoma with Cataract. Hainan Medical Journal, 31, 2514-2517. (In Chinese)
[33] Deng, S.F., Liao, R., Li, J.X., Dai, D., Li, W.T., Zhang, B.Y., et al. (2021) Comparison of Phacoemulsification Combined with Goniosynechialysis and Trabeculectomy in the Treatment of APACG. International Eye Science, 21, 946-951. (In Chinese)
[34] Liang, Y.Q. (2013) Comparison between Cataract Phacoemulsification Combined with Goniosynechialysis and Trabeculectomy for Primary Angle-Closure Glaucoma. Recent Advances in Ophthalmology, 33, 187-189. (In Chinese)
[35] Tanner, L., Gazzard, G., Nolan, W.P. and Foster, P.J. (2020) Has the EAGLE Landed for the Use of Clear Lens Extraction in Angle-Closure Glaucoma? And How Should Primary Angle-Closure Suspects Be Treated? Eye, 34, 40-50.
[CrossRef] [PubMed]
[36] Mitchell, W.G., Azuara-Blanco, A., Foster, P.J., Halawa, O., Burr, J., Ramsay, C.R., et al. (2023) Predictors of Long-Term Intraocular Pressure Control after Lens Extraction in Primary Angle Closure Glaucoma: Results from the EAGLE Trial. British Journal of Ophthalmology, 107, 1072-1078.
[CrossRef] [PubMed]
[37] Day, A.C., Cooper, D., Burr, J., Foster, P.J., Friedman, D.S., Gazzard, G., et al. (2018) Clear Lens Extraction for the Management of Primary Angle Closure Glaucoma: Surgical Technique and Refractive Outcomes in the EAGLE Cohort. British Journal of Ophthalmology, 102, 1658-1662.[CrossRef] [PubMed]

Copyright © 2026 by authors and Scientific Research Publishing Inc.

Creative Commons License

This work and the related PDF file are licensed under a Creative Commons Attribution 4.0 International License.