Influence of Two Cutting Propagation Systems on Early Field Growth of Four Eucalyptus urophylla × Eucalyptus grandis Clones in the Republic of Congo ()

1. Introduction
In the Republic of Congo, the vegetative propagation of eucalyptus interspecific hybrid clones has been based since 1974 on the rooting of stem cuttings collected from field coppicing stumps used as stock plants [1]. Unfortunately, this technique did not allow the vegetative propagation of the new powerful clones of Eucalyptus urophyalla × Eucalyptus grandis developed hybrid by the research in 1978 [2]. With this technique, the cuttings derived from field coppicing stumps are regarded as mature physiologically [3]. Research carried out from 2003 to 2010 made it possible to define a new propagation technical based on the rejuvenation of the plant material through an intensive management of the stock plants of which the first generation resulted from rooted cuttings produced from coppicing stumps. These new technical use cuttings collected from field coppicing stump stock or cuttings above ground [4]. This Research has also helped to understand the impact of phase change phenomena on the vegetative propagation performance of eucalyptus hybrid clones in the Republic of Congo [5] [6] and [3].
Morphological differences, both macroscopic [4], microscopic [7] and molecular [6] are quite evident between the rejuvenated material from above ground stocks plants and the material mature from stocks plants in the ground. The morphology of soil-less stock plants cuttings gives it a lot of advantages from the point of view of its physiological activity, the most important of which is the early adventitious rooting [5]. Indeed, cuttings collected from stock plants above the ground are juvenile plants, with an apex and three pairs of chlorophyll leaves [4]. In contrast, the classic cutting from the cuttings of the full-ground stocks plant as defined by [1] is a fragment of lignified stem, with a pair of leaves truncated to limit evapotranspiration and is without apex. The macroscopic morphological form of the cutting from the stock plant above the ground is characterized by the presence of an apex which has the role of synthesizing the hormones, which make it possible to initiate roots more easily [8] and a pair of leaves with a cotyledonary appearance [4], which indicates its juvenile physiological phase [7].
Many aspects comparing the field coppicing stump derived cutting and intensively managed container-grown stock plants derived-cutting at the nursery stage have been widely documented [1] [4] [5] and [6]. However, as far as we are aware, there is no published account comparing the field growth of 4 Eucalyptus urophylla × Eucalyptus grandis clones produced by rooted cuttings according to two different propagation processes. This constituted the topic of our investigations.
2. Material and Method
2.1. Study Site
The study was carried out in the “Genetic Improvement Diversity” Unit of the Research Center on Industrial Plantations, in the main coastal forest plantations, at Pointe-Noire, Republic of Congo.
2.2. Plant Material
The study involved four interspecific Eucalyptus urophylla × Eucalyptus grandis clones referred to as: 18 - 50, 18 - 147, 18 - 170, and 18 - 228 produced by rooted cuttings according to two different procedures. For each clone, two types of cuttings, F and C were distinguished: c plants were produced from 2 yr-old field coppicing stumps as initially described by [1] and then by [4] whereas plants derived from intensively managed container-grown stock plants from 1 yr-old. These two propagation systems are detailed in [4] and illustrated in Figure 1.
The F and C rooted cuttings were cultivated for 3 months in containers filled with substrate (1V of genulite and 3v of vermiculite) before they reach the suitable average size of 30 cm to be field planted after the addition of 200 g of NPK 13-13-21 in the planting hole 1-41.
![]()
Figure 1. Illustration of the different types of plants used as described by [4] : Field coppicing stump (a) derived cutting; (b) and ready for planting rooted cutting; (c) Intensively managed container-grown stock plants (d), derived-cutting; (e) and ready for planting rooted cutting (f).
In this study, the description of the plant made by [4] was supplemented by the characterization of the orthotropic of the newly formed axis through the measurement of the angular value of the deviation of this axis compared to the vertical.
2.3. Experimental Design, Observations and Statistical Treatment of the Data
The different clones by type of plant were installed in a device in complete randomized blocks with three replicates and an elementary experimental unit made up of 7 × 7 plants, installed according to the spacings of 4.7 m × 2.5 m, i.e. at a density of 851 plants per hectare. A total of 49 plants were installed per type of plant and per clone. All the elementary experimental units were all framed by two border lines of 1-41, a natural hybrid clone planted at the same spacing as the artificial hybrid clones used. The experimental setup covered a total area of 1.64 ha. A starter fertilization consisted of burying, in four pockets, 200 g of NPK 13-13-21 fertilizer, around the plant, at planting.
2.4. Measured Variables and Statistical Analyzes
In the field, the diameters of the seedlings at the collar were measured at 3 and 6 months. From 12 months the circumference was measured at 1.30 from the ground. The height of the trees was measured with the pole (from 6 to 12 months) then the suunto inclinometer (from 18 to 36 months). The diameter at the collar (C) was measured with a precision 10−2 electronic caliper then with a tape measure. The measurements were taken every three months from 0 to 12 months and then every six months from 18 to 36 months.
To test the differences in height and circumference among types of plants or among clones, one-way analysis of variance (ANOVA) was used for each age after plantation. A multilevel model was first fitted according to:
(1)
with
is alternatively height or circumference;
is the overall mean value of height or circumference;
represents the factor of the data, i.e., that each individual, i belongs to a type of plant or a clone;
and
is the residual term which includes any measurement error.
The conditions of normality and homoscedasticity of residuals were checked graphically and with Shapiro-Wilk and Breusch-Pagan tests, respectively. When these conditions were invalidated, the ANOVA with a nonparametric test (Kruskal-Wallis rank sum test) was used to test the differences in height and circumference. For the nonparametric Kruskal-Wallis test [9], the null hypothesis was “no difference between medians for each variable”. When the null hypothesis was rejected, we conducted post hoc Kruskal-Wallis multiple comparisons between medians [10]. All statistical analyses were computed using the open source R environment [11], using packages PGIRMESS package for post-hoc test [12].
3. Results
3.1. Characterization of the Divergence from the Vertical of the Main Axis of Plant Types
One of the most remarkable morphological differences noted between the two types of cuttings at the nursery stage is the orientation of the newly formed axis resulting from the development of the axillary bud for traditional cuttings and that formed by the development of the terminal bud for cuttings intensively managed container-grown stock plants. Observations show that the newly formed main axes of plants from rooted cuttings produced from coppicing stumps have an inclination with respect to the vertical. While those from the stock plants above ground are relatively orthotropic.
The newly formed axis of conventional plants on average is deviated from the vertical by an average angular value of 40.28˚. Analysis of variance showed a very significant clone effect (P < 0.001) on the inclination of the newly formed axis relative to the vertical. For the clones studied, 18 - 50 is more orthotropic than 18 - 52 (Figure 2). The latter is in turn more vertical than the 18 - 209. The most plagiotropic of the clones studied is 18 - 72 with an average spacing of the newly formed axis from the vertical of 49.75. The test of means comparison indicates that the angular values obtained are about 49.95 a for the clone 18 - 72, 47.00 ab for the clone 18 - 209, 36.56 b for the clone 18 - 52 and 29.16 c for the clone 18 - 50.
3.2. Effect of Clone and Cutting Propagation Systems on the Height and Diameter Growth Parameters
The height growth curves of two types of plants are confused from planting to eighteen months of age (Figure 3). Twenty-four months after planting, growth curves show a difference in development up to the age of thirty-six months in favor of plants resulting from the shoots of open stumps. The analysis of variance carried out at the 5% level confirms the observations made by showing
![]()
Figure 3. Growth height according to the two types of cuttings F and C, the four clones combined. Vertical bars represent the confidence intervals at Po = 5%.
significant differences (P < 0001) in the growth in height between the two types of plants of the plantation from the age of eighteen months.
The circumference at the collar and at 1.30 m, on the other hand, evolves differently. It differs significantly from the nursery stage and varies during growth in favor of plants resulting from the cuttings collected from field coppicing stump stock plants at 12 and 18 months when the values of the two types of cuttings merge (Figure 4).
3.3. Growth Homogeneity Analysis
Analysis of variance revealed a very significant clone effect (P < 0.001) on the growth parameters studied (Table 1). The four clones studied do not grow in the same way (Figures 5-8). Also, all clone propagation technical interactions are always significant (Table 1), indicating that some clones are better with plants resulting from cuttings from the shoots of open-ground stump shoots, others with plants from cuttings from stock plants above ground. The differences remain however limited. The growth of the clone 18-147 is better with plants from conventional cuttings, on the other hand, the clone 18-228 is better with plants from cuttings from stock plants above ground.
4. Discussion
4.1. Root Dynamics of Different Types of Cuttings
Above-ground stock plants benefit from intensive cultivation conditions - severe and repeated pruning, adapted irrigation and fertilization [4], reputed to have a
![]()
Figure 4. Growth circumference of the various types of plant mature (C) and rejuvenated (HS). Bars represent the confidence intervals at Po = 5%.
![]()
Figure 5. Growth height according to the two types of cuttings F and C, the four clones combined of the various types of plant mature (C) and rejuvenated (HS). Vertical bars represent the confidence intervals at Po = 5%.
![]()
Figure 6. Clones growth height of rejuvenated plants (HS). Bars represent the confidence intervals at Po = 5%.
![]()
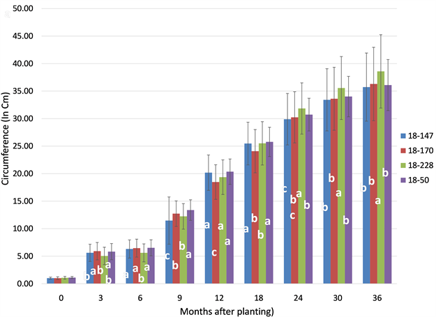
Figure 7. Clones growth circumference of rejuvenated plants (HS). Bars represent the confidence intervals at Po = 5%.
![]()
Table 1. Significance levels (p values) of the various experimental factors tested with regard to the height and the circumference in relation to number of months post planting.
![]()
Figure 8. Clones growth circumference of mature plants (C). Bars represent the confidence intervals at Po = 5%.
positive effect on rejuvenation and maintenance of the juvenile state [13] and [14]. In addition, the plants resulting from the stock plants above the ground are ramets of the stock plants in the ground and can therefore be considered as being more juvenile than the cuttings resulting from the shoots of open stumps, by reference to the principle of cuttings “cascade” successfully used in some cases to physiologically rejuvenate selected aged genotypes [15] and [16]. The juvenility of cuttings from above-ground stock plants for clones of the interspecific hybrid Eucalyptus urophylla × Eucalyptus grandis, has been proven by the work of [5] at the microscopic morphological scale by studying the conformation of the domes of the stem apical meristems, [7], at the molecular level through a study of the dosage of 5-methyl-Cytosine in the stem apices and the immunolocalization of 5-methyl-Cytosine in the apical stem meristems.
At the macroscopic morphological level, the rooting dynamics of cuttings from stock plants outside and that of cuttings from stock plants in open ground differs significantly [7]. However, the plants resulting from the technique of cuttings from above-ground stock plants lose the advantage acquired in terms of duration of precocity to adventitious rooting. Indeed, the two types of plants grow in the same way in the first months of installation in the field, from 3 to 18 months, and express lower growth parameters than those of plants resulting from the classic cutting technique. Although the differences are relatively insignificant between the two types of cuttings.
Cuttings from container-grown stock plants, C, above ground have an early rooting. After a 25 long rooting period, the C cuttings are ready for acclimatization [4] and to be field-planted. The plants resulting from this production technique are obtained 2.5 months after the date of cuttings. These plants should go into planting at this age. The size of training received by these plants, which is the removal of roots and secondary axes of the main stem would be detrimental to their growth in the field and reduce the performance of this type of cuttings.
It should be noted that collar circumferences were significantly superior form cuttings F than for C ones larger neck diameters were noted in favor of plants from full-ground stock plants. This observation must be put into perspective, however, because cuttings from stock plants in the ground have a larger diameter than cuttings from stock plants above ground even before the initiation of the roots.
4.2. Characterization of the Divergence of the Main Axis of the Plant from the Vertical
The difference in morphological shape observed between the two types of plants [4] must take into account the fact that the plant resulting from the stock plant in the ground results from the development of a newly formed axillary bud while the plants above ground come from the development of a cutting with apex. The first level of influence then emerges with the above ground or full ground origin of the cuttings on the morphological shape of the cuttings. This study has just highlighted another level of possible influence on tropism. This is the clone effect on the angular value of the inclination of the plant's main axis from the vertical, which would assume a genetic effect on the tropism. The orientation of the main axis of the plant, and even of the young shoots [17], during its growth is symptomatic. Numerous studies, including that [14] [18] and [5] confirm that orthotropic growth is relative to young material, while plagiotropic growth is associated with a mature material type.
The plants studied come from cuttings from the shoots of open stumps. These plants are relatively mature because they come from cuttings from stump shoots. On the other hand, the plants resulting from cuttings outside the ground are ramets of the stock plants of full ground [5] in the process of rejuvenation of the clones by cuttings. They are therefore more juvenile than plants obtained from the shoots of open-ground stumps. This study supports to some extent the assertion of [18].
The major consequence of tropism is the presence of basal curvatures in the first months of growth on plants from cuttings from full-ground stock plants, curvatures due to a straightening of the plagiotropic axis. 80% of plants resulting from cuttings of open-ground stump shoots show a bend at 6 months of growth in the field.
5. Conclusion
Rooted cuttings produced from field stumps in the field and produced from intensively managed stock plants were subjected to a comparative study of field growth, in order to assess the effect on four Eucalyptus urophylla × Eucalyptus grandis clones of two different cutting propagation processes the stock plants age, therefore of physiological age on growth in the field. We retain from this study that the growth in the field of plants from above-ground stock plants does not lag behind that of plants produced by traditional cuttings. This aspect of results makes it possible to adopt the technique of producing plants from above-ground stock plants. The advantages of the soil-less stock plant technique remains, in the light of the results obtained at the nursery stage and are reflected in terms of high productivity of the stock plants, early adventitious rooting, reduction of plants production time compared to the cutting from the stock plants in the ground. An indisputable criticism of this study is the management of the plantation with the same practices as those of the industrialist, which would have reduced the performances of the plants resulting from cuttings above ground, in particular the removal of axes and the size of the roots before the planting.
Acknowledgements
The authors thank CRDPI for his financial commitment. This paper is dedicated to Dr Aubin Rachel Saya (†), who contributed highly to this study, and passed away on 13 March 2022 while retired for less than a year.