Thermal Studies of Commercial Low Calorie Sweeteners

Abstract

This paper presents the thermal analysis of artificial sweeteners, and natural sugar substitutes. Thermal analysis was done on commercial compositions of sweeteners using simultaneous DSC/TGA (SDT). Heat flow, and mass vs. temperature and time thermograms, along with DSC peak enthalpies and transition temperatures are reported. A number of the sweeteners were found to undergo transitions and reactions before or at 190°C (375°F, normal baking temperatures) and all dextrose containing sweeteners show an endothermic peak around 80°C due to the liberation of bound water molecules. The major components of sweeteners studied were found to be generally thermostable at or below 100°C.

Share and Cite:

III, P. and LeMaire, P. (2022) Thermal Studies of Commercial Low Calorie Sweeteners. American Journal of Analytical Chemistry, 13, 346-364. doi: 10.4236/ajac.2022.139024.

1. Introduction

Sucrose or Sugar was said to have been first used in Polynesia and then its use spread to the Indian subcontinent with reports of sugar usage as far back as the 8th century BC [1]. Sugar is arguably one commodity that has had a very long socio-economic history. It was said to have been introduced from India to Persia sometime around 500 BC by Emperor Darius who found “the reed which gives honey without bees” [2]. Various European military and other expeditions from the 14th Century AD and onward are credited for introducing the “sweet salt” to Europe from Asia and the Middle East. Today, sugar is ubiquitous in pharmaceuticals and foods, especially in packaged foods and desserts.

Excessive sugar in Western diets, has been identified as one of the major players in the explosion of tooth decay, diabetes, and obesity with concomitant negative impact on productivity and the economy leading to high cost of healthcare and lower productivity of workers [3] [4]. In recent years, the health and economic concerns have even led to attempts by politicians and health advocates to ban large scale consumption of sugary drinks [5]. Sugar free sweeteners have gained popularity over the years as “healthy” alternatives to sugars and high fructose corn syrup because they are sweet but are not metabolized by the body [6], making them “calorie-free”. They are also reported to have low glycemic indices, so people with diabetes can use them as substitutes for sugar [7], and some are purported to have dental health benefits [8] [9].

To meet the demand to sweeten food and pharmaceutical products, and reduce the use of sugar, scientists created artificial sweeteners, such as aspartame, saccharin, sucralose, cyclamate (currently banned by FDA in the United States, was banned and re-approved in UK, and approved as sweetener in 130 countries [10]). Others have looked to sugar-free sweeteners from plants, such as Stevia Leaf Extract, Brazzein, Monatin, Xylitol, and Monk Fruit extract as natural alternatives.

Saccharin (300 to 550 times as sweet as sugar) was first synthesized in 1879 by Constantin Fahlberg, a chemist at Johns Hopkins University, who accidentally tasted the chemical he has been working on and found it to be sweet [11]. After decades of controversy surrounding saccharin, in 1973, the US FDA reported that research found bladder cancer in lab rats fed with saccharin [11] [12], and placed warning labels on it. It was however banned in Canada. Aspartame (200 times as sweet as sugar) is a methyl ester [13] which was discovered in 1965 by James M. Schlatter at the G.D. Searle Company. He was reported to be working on an anti-ulcer drug and accidentally licked his hands to discover the sweet taste. Sucralose (600 times as sweet as sugar) was discovered in 1976 by scientists from Tate & Lyle, and King’s College, London. The story is that one of the researchers (Leslie Hough and Shashikant Phadnis) working on synthetic sucrose asked Phadnis to test the material and he heard it as “taste”, so he did and found it to be very sweet. Sucralose is modified sucrose with a couple of OH anions replaced by Cl anions, and so has been advertised commercially as “made from sugar and so tastes like sugar”. It is described as “stable to heat” and so suitable for baking [14]. Acesulfame-Potassium (Ace-K) (200 times as sweet as sugar) was discovered in 1967 by German chemist Karl Clauss at Hoechst AG while working on a class of compounds with similar structure as Ace-K, when he is said to have licked his finger to pick up a piece of paper and found that it was sweet. Ace-K was selected as the best of the group for further development as a sweetener. Ace-K is also described as “stable to heat” and so suitable for baking [15]. Sodium Cyclamate (30 - 50 times as sweet as sugar) was discovered in 1937 by graduate student Michael Sveda at the University of Illinois. He was reported to be working on the synthesis of an anti-fever medication. The material he was working on got onto his cigarette and when he put it in his mouth, he “discovered the sweet taste of cyclamate” [10]. In 1966, a study reported that some intestinal bacteria could desulfonate cyclamate to produce cyclohexylamine, a compound suspected to have chronic toxicity in animals. Another study in 1969 found that a 10:1 cyclamate:saccharin mixture increased the incidence of bladder cancer in lab rats [10]. Although there was other research to refute the later, FDA in the United States banned its use as a sweetener in 1970. Cyclamate is approved for use in Canada, UK and over 130 nations.

A number of natural sweeteners have also been packaged for commercial use. Stevia (150 times as sweet as sugar) is extracted from the leaves of the plant speciesStevia rebaudiana. The plantStevia rebaudiana has been used for more than 1500 years in South America (Brazil and Paraguay) to sweeten local teas and medicines. Stevia is also commercially reported to be “heat-stable” [16]. Monk Fruit (about 300 times as sweet as sugar) is from a small melon that has been cultivated in Southern China and Northern Thailand for centuries and used as sweetener in local drinks and medicines in China. It is reported that, monk fruit is named after the Buddhist monks who first cultivated the fruit [17] [18]. Xylitol (just as sweet as sugar 1:1) can be obtained from corncobs, birch trees and several fruits in the form of Xylose. The 5-carbon sugar alcohol xylitol was discovered by E.H. Fisher and R. Stahal in Germany and by M.G. Betrand in France [19]. During World War II, Finland is reported to have suffered a major sugar shortage and turned to xylitol as a sugar alternative, taking advantage of their large birch forests [20]. In the early 1970s, Finnish researchers at the University of Turku discovered that xylitol could also reduce the bacteria in the mouth that caused tooth decay and reduce cavities [21] [22] [23].

Since sweeteners are food products, much has already been done to test the stability and toxicity of these sweeteners, but studies have not always been consistent leading to ongoing claims and counter claims of the benefits and dangers of sweeteners [24] - [30]. Some studies and public distrust of artificial food products have brought claims that artificial sweeteners have carcinogenic effects [31]. Other studies seem to refute such claims and state reasons why the previous studies were flawed [29] [30]. In the case of aspartame, there are campaigns calling for its use to be banned entirely [31]. These studies also focus on sweeteners at normal ambient temperatures, and the studies of the stability of sweeteners seem to focus on long term storage and interactions with compounds with varying pH levels [32].

The prevalence of sugar substitutes in baking, however, demands robust stability testing at standard baking temperatures, traditionally 177˚C - 218˚C (350 - 425 ˚F) [33]. It is easy to see, from the molecular structures, why artificial sugar substitutes need to be tested at high temperatures. Most of these sugar substitutes are large molecules with ring structures. These kinds of molecules are prone to fairly complex decomposition reactions [34], leading to decomposition products that may not previously have been studied for health reasons. There do not seem to be extensive studies on the stability of sweeteners at higher temperatures. This paper reports the use of Simultaneous Differential Scanning Calorimeter (DSC) and Thermogravimetric Analyzer (TGA) to study the stability and provide information on the thermal transitions of popular artificial and natural sweeteners with respect to temperature, especially at traditional baking temperatures.

2. Experimental

Since thermal response of materials is often impacted by the presence of other materials, commercially available compositions were used to obtain more realistic thermal profiles. A TA Instruments Q600 SDT (Simultaneous DSC and TGA) was used. Samples of commercial compositions of sweeteners1 were weighed and heated in open alumina crucibles between room temperature and 600˚C. Heating rates of 5˚C/min were used. In addition, the samples were heated at a rate of 20˚C/min from room temperature to 190˚C and held isothermally at 190˚C for 50 minutes to mimic baking at about 190˚C (375 ˚F). The latter process will be referred to as the “baking process”. Nitrogen was used as the purge gas. Heat flow (W/g) and mass (% weight) were obtained as a function of temperature and time. The sweeteners studied were commercial compositions of the following: 1) sucrose 2) saccharine 3) Stevia, with dextrose 4) Stevia, with erythritol, 5) Acesulfame Potassium, 6) Monk fruit Extract, 7) Xylitol, 8) Aspartame, 9) sucralose and 10) Cyclamate. Cyclamate is not available as a sweetener in United States, but has been touted as a high temperature sweetener, so samples of Sodium Cyclamate were obtained from Alfa Aesar, and studied.

3. Results

Sucrose: From Figure 1(a), an endothermic event with an onset at 184˚C and peak at 188˚C, and with no loss of mass was observed. This event with enthalpy of about 149 J/kg, was associated with “melting” of sugar. “Melting” in the sweeteners, are not true thermodynamic melting as observed in metals, for example, but may be a case of what is referred to as “apparent melting”, a kinetics driven loss of crystallinity, with transition temperatures that depend on rate of heating [35] [36]. A second endothermic event closely followed the “melting” with continuous loss of mass and was associated with caramelization, and followed by pyrolysis which results in the formation of “blackjack” with accompanying decomposition. The caramelization process involves complex reactions including dehydration and loss of other products [37].

The results, as seen in Figure 1(a), support baking with sucrose at high temperatures up to about 250˚C where the caramelization process seems to taper off, and decomposition continues. Figure 1(b) shows heat flow and mass loss during the “baking process”. The initial small loss of mass during the “baking process” may be attributed to caramelization which involves loss of water of hydration, water vapor and other products.

Saccharine: The composition includes dextrose with maltodextrin, calcium silicate and cream of tartar. Figure 2(a) shows Endothermic event with enthalpy

(a) (b)

Figure 1. (a) DSC and TGA of Sucrose between room temperature and 400˚C; (b) Ramp up and isothermal (190˚C) heat flow and weight changes as a function time of sucrose (sugar).

of 278 J/kg, and onset around 65˚C and peak at about 81˚C, with mass loss of about 9.1%. This event is attributed to loss of water of constitution of dextrose (monohydrate) and conversion to dextrose anhydrous. The measured mass loss is in line with the 9.09% mass difference between dextrose monohydrate (C6H12O6·H2O) and dextrose anhydrous (C6H12O6). The second endothermic event with enthalpy of about 133 J/kg, onset around 133˚C, and peak at about 142˚C with little to no mass loss is attributed to the apparent melting of dextrose (anhydrous). Considering the third endothermic event, the literature sets the melting points of maltodextrin between 200˚C and 250˚C, and saccharin at 228.8˚C, but the precipitous mass loss with onset at about 176˚C suggests that some sort of decomposition and/or formation of new compounds may be taking place. Considering the other ingredients, Calcium silicate is known to be stable up to 1000˚C [38], so is not responsible for the third endothermic event. Tartrate single crystals are known to decompose at about 240˚C, and the decomposition of powdered tartrate (cream of tartar) may occur at a lower temperature [39] and thus may contribute to the mass loss associated with the third endothermic event. Figure 2(b) shows heat flow and mass loss during the “baking process”. The decomposition and/or new compound formation regime is seen to be arrived at within 10 minutes of initial heating.

(a)(b)

Figure 2. (a) DSC and TGA of Saccharin composition with dextrose, maltodextrin, calcium silicate and cream of tartar. between room temperature and 600˚C; (b) Ramp up and isothermal (190˚C) heat flow and weight changes as a function time of Saccharin composition with dextrose, maltodextrin, calcium silicate and cream of tartar.

Aspartame: In addition to aspartame, this composition includes dextrose and maltodextrin. In the case where Acesulfame Potassium (Ace-K) is included in the composition, the thermograms were very similar. Figure 3(a) shows Endothermic event with enthalpy of 282 J/kg, onset around 65˚C, and peak at about 80˚C, with accompanying mass loss. The second endothermic event with enthalpy of 157 J/kg, has onset around 139˚C, and peak at 145˚C. These two events are similar to the signature events of dextrose described earlier. The third endothermic event with peak at 213˚C and accompanying mass loss may be attributed

(a)(b)

Figure 3. (a) DSC and TGA of Aspartame composition with dextrose and maltodextrin between room temperature and 600˚C; (b) Ramp up and isothermal (190˚C) heat flow and weight changes as a function time of the Aspartame composition with dextrose and maltodextrin.

to decomposition and other reactions of some of the additives. The “melting” of aspartame and maltodextrin may also contribute to the third event. Figure 3(b) shows heat flow and mass loss during the “baking process”. It is seen that about 21% of the material, after the initial loss associated with loss of water of hydration of dextrose, is lost during the 50-minute “baking” period.

Sucralose: In addition to sucralose, this composition includes maltodextrin and dextrose. Figure 4(a) shows endothermic event with onset around 64˚C, with mass loss, which is similar to the signature event of dextrose described earlier. The second endothermic event with onset around 130˚C, and peak at 138˚C with mass loss and a couple of inflections, may be attributed to the apparent melting of dextrose (anhydrous) and a couple of overlapping endothermic events that may include the melting of sucralose. The third endothermic event with onset at about 226˚C and peak at 259˚C includes the melting of maltodextrin, and the large mass loss suggests some sort of decomposition. Figure 4(b) shows heat flow and mass loss during the “baking process”. The decomposition regime is arrived at within 10 minutes of initial heating and with about 20% mass loss after the initial loss of attributed to loss of water of hydration of dextrose.

Acesulfame Potassium (Ace-K): In addition to Ace-K, this composition includes Dextrose, with Cream of Tartar and Calcium Silicate as bulking agents. Figure 5(a) shows endothermic event with onset around 64˚C, with mass loss, which follows the signature event of dextrose explained earlier. The second endothermic event with onset around 131˚C, and peak at 140˚C with no mass loss may be attributed to apparent melting of dextrose anhydrous as observed in the earlier results. Acesulfame Potassium is reported to be stable up to 250˚C [40]. The event(s) associated with the third endothermic event, onset at about 173˚C and peak at about 200˚C, with the accompanying precipitous mass loss, needs

(a)(b)

Figure 4. (a) DSC and TGA of Sucralose with dextrose and maltodextrin between room temperature and 600˚C; (b) Ramp up and isothermal (190˚C) heat flow and weight changes as a function time of Sucralose with dextrose and maltodextrin.

further investigation. However, this composition contains cream of tartar, and tartrate crystals which are known to decompose at about 240˚C, and so powdered tartrate (cream of tartar) may decompose at a lower temperature [38] and may contribute to the observed mass loss. Also, vaporization/decomposition of Dextrose may contribute to this mass loss. Figure 5(b) shows heat flow and mass loss during the “baking process”. The decomposition regime is arrived at within 10 minutes of initial heating. The Initial mass loss of about 9% follows the signature event of dextrose described earlier. The significant mass loss of about 30%, after initial loss may be attributed to vaporization and other decomposition reactions during the “baking process”.

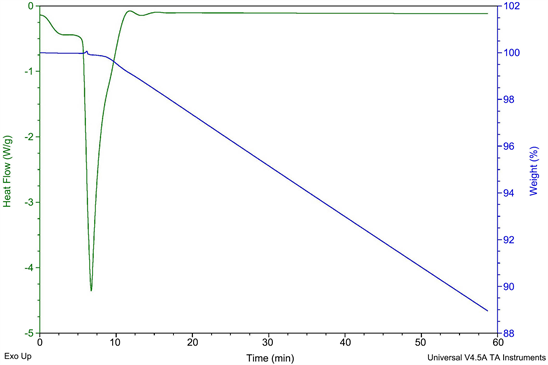
Sodium Cyclamate: Figure 6(a) shows an endothermic event with onset around 192˚C and peak at 260˚C, with precipitous mass loss. This event is attributed to the apparent melting/decomposition of Cyclamate. The inflection seen in the thermograph suggests overlapping of more than one event. Figure 6(b) shows heat flow and mass loss during the “baking process”. The decomposition and/or apparent melting regime is arrived at within 10 minutes of initial heating, but relatively very small loss, just about 1%, of mass during the “baking process”, suggesting high thermal stability at “baking” temperatures.

Stevia: We studied two sets of commercial compositions. One composition included only dextrose in addition to stevia and is labeled as S1. The second composition included only Erythritol in addition to stevia and is labeled as S2. For S1, as shown in Figure 7(a), the endothermic event with onset around 66˚C, with mass loss, follows the signature event of dextrose described earlier. The second endothermic event with onset around 142˚C, and peak at 148˚C with little mass loss may be attributed to the apparent melting of dextrose (anhydrous), as has been seen in earlier results. There were two more endothermic events, with associated mass losses suggesting vaporization, decomposition and other reactions. “Melting” point of stevia is reported to be around 196˚C - 202˚C [41], so the third and fourth events may be a combination of the apparent melting, vaporization of dextrose as in earlier results, and some form of decomposition. The significant mass losses in the fourth peak suggest the evolution of gases

(a)(b)

Figure 5. (a) DSC and TGA of Acesulfame Potassium with Dextrose, Cream of tartar, and calcium silicate. between room temperature and 600˚C; (b) Ramp up and isothermal (190˚C) heat flow and weight changes as a function time of Acesulfame Potassium with dextrose, cream of tartar and calcium silicate.

(a)(b)

Figure 6. (a) DSC and TGA of Cyclamate between room temperature and 600˚C; (b) Ramp up and isothermal (190˚C) heat flow and mass changes as a function time of Cyclamate.

created during heating and so could be due to vaporization of stevia. For baking purposes, though, the fourth peak does not matter much since baking is usually done at temperatures below the onset of the fourth event. Figure 7(b) shows heat flow and mass loss during the “baking process”. The decomposition/vaporization regime is arrived at within 10 minutes of initial heating with about 19% mass loss that includes the initial loss attributed to loss of water of hydration of dextrose.

(a)(b)

Figure 7. (a) DSC and TGA of Stevia composition with dextrose (S1) between room temperature and 800˚C; (b) Ramp up and isothermal (190˚C) heat flow and weight changes as a function time of Stevia with dextrose (S1).

For S2, as seen in Figure 8(a), the endothermic event with onset around 115˚C, and peak at 119˚C with very little mass loss, is attributed to the apparent melting of Erythritol. The second endothermic event with actual onset around 180˚C and peak around 296˚C, accompanied by significant mass loss is attributed to possible vaporization of stevia and erythritol. The rapid and almost complete loss of mass, with practically no residue at the second event suggested release of gasses and/or water, thus possible vaporization. Figure 8(b) shows heat flow and mass loss during the “baking process”. The vaporization regime is arrived at within 10 minutes of initial heating, but relatively smaller loss of mass during the “baking process”, as compared to S1 (See Table 1).

Monk fruit extract: The composition studied included erythritol. Figure 9(a) shows an endothermic event with onset around 115˚C and peak at about 120˚C, with very little mass loss, is attributed to the apparent melting of Erythritol along with Monk Fruit extract. The second endothermic event with onset around 200˚C and peak around 308˚C, accompanied by significant mass loss is attributed to vaporization of erythritol and the Monk Fruit extract. The rapid

(a)(b)

Figure 8. (a) DSC and TGA of Stevia composition with Erythritol (S2) between room temperature and 600˚C; (b) Ramp up and isothermal (190˚C) heat flow and weight changes as a function time of Stevia with Erythritol (S2).

and almost complete loss of mass, with practically no residue at the second event suggests the release of gasses and/or water. Figure 9(b) shows heat flow and mass loss during the “baking process”. The vaporization regime is arrived at within 10 minutes of initial heating, but relatively small loss of mass of less than 10%, during the “baking process”.

Table 1. Summary of mass losses during “baking” at 190˚C.

(a)(b)

Figure 9. (a) DSC and TGA Monk Fruit extract composition with Erythritol between room temperature and 600˚C; (b) Ramp up and isothermal (190˚C) heat flow and weight changes as a function time of Monk Fruit Extract with Erythritol.

Xylitol: The samples studied had no additives. Figure 10(a) shows endothermic event with onset around 90˚C and peak at 94˚C, with no mass loss, is attributed to the apparent melting of Xylitol. This is in line with reported melting point of Xylitol [41]. The second endothermic event with actual onset around 180˚C and peak around 327˚C, accompanied by significant mass loss is attributed to possibly decomposition or vaporization of Xylitol. The rapid and complete loss of mass, with practically no residue at the second event suggested release of gasses. Figure 10(b) shows heat flow and mass loss during the “baking process”. The decomposition and/or vaporization regime is arrived at within 10 minutes of initial heating, but very small, just about 2% loss of mass during the “baking process”.

The mass losses of all samples during the “baking process” are summarized in Table 1. In all samples with dextrose, there was a consistent mass loss of about 8.5% - 10% before baking temperature of 190˚C was reached, and more mass losses during the 50-minute baking period. Compositions with cream of tartar also saw larger mass losses during the baking process.

The natural sweeteners Stevia (S2), Monk Fruit extract with Erythritol as ingredient, and Xylitol, show linear mass losses as a function of time during the “baking process” as seen in Figure 8(b), Figure 9(b), and Figure 10(b). This result also supports vaporization. It is found in the literature that liquid erythritol has a non-negligible vapor pressure [42]. Combined with the fact that there is almost complete mass loss in as seen in Figure 8(a), Figure 9(a), and Figure 10(a), we can assume that these natural sweeteners eventually vaporized on heating during the “baking process”. Visual inspection of the residues after the

(a)(b)

Figure 10. (a) DSC and TGA of Xylitol between room temperature and 400˚C; (b) Ramp up and isothermal (190˚C) heat flow and weight changes as a function time of Xylitol.

“baking process” also showed the Stevia with Erythritol (S2), and Xylitol leaving minor colorless melts, while Monk Fruit had a minor yellowish melt, Stevia with Dextrose (S1) showing significant brown melt, and Sucrose leaving a brown melt. The others had bulging black residues.

4. Conclusion

A number of these well-known sweeteners seem to have decomposition and/or some chemical change onsets below or very close to standard and advertised baking temperatures. At “baking” temperatures some of these sweeteners may be undergoing complex decomposition and/or chemical reactions and thus the need for more careful study of the thermal reaction products of sweeteners at these temperatures to ascertain their suitability for human consumption in foods processed above 100˚C. The natural sweeteners show little to no mass losses before the baking temperatures, and simply undergo some vaporization at baking temperatures. These results also help to explain bakers’ common complaint about loss of sweetness during baking when using sweeteners other than sucrose. Thermal stability-wise, all the sweeteners seem to be fine below or at 100˚C (“coffee and tea” temperatures). Of the tested sweeteners, in addition to sucrose, the Xylitol based sweeteners and cyclamate seem to be the most stable at “baking” temperatures, followed by the Monk fruit extract, and Stevia with Erythritol (S2). It is also clear that apart from sucrose, ingredients in commercial sweeteners in low temperature applications, such as in ice cream and other low temperature desserts, end up being different from when the same sweeteners are used in high temperature applications such as in baking. The results of this work may thus serve as a guide in above room temperature processing of foods, pharmaceuticals, etc., that involve the use of these sweeteners. We plan to do more work at the transition temperatures to study resulting materials to help improve current knowledge of the transitions in these materials.

Data Availability Statement

The thermal data is available upon request. The request may be made to Peter K. LeMaire (lemaire@ccsu.edu).

Funding Statement

The research was supported by the Department of Physics and Engineering Physics, Central Connecticut State University, New Britain CT, USA.

NOTES

1Commercial Sweetener Compositions: (1) Sucrose-DominoTM Sugar, (2) Saccharine, with Dextrose, Maltodextrin, Calcium Silicate and Cream of Tartar-Sweet’n LowTM, (3) Aspartame with Dextrose and Maltodextrin-EqualTM and NutrasweetTM, (4) Sucralose, with Maltodextrin and Dextrose-SplendaTM, (5) Acesulfame Potassium, with Dextrose, Cream of Tartar and Calcium Silicate-SweetOneTM, (6) Stevia, with dextrose-Stevia-in-the-rawTM, (7) Stevia, with erythritol-Splenda NaturalsTM, TruviaTM, Z-SweetTM, (8) Monkfruit Extract, with erythritol-Monkfruit LankatoTM, (9) Xytitol-XyloSweetTM.

Conflicts of Interest

The authors declare no conflicts of interest regarding the publication of this paper.

References

[1] History of Sugar.
https://en.wikipedia.org/wiki/History_of_sugar
[2] How Sugar Is Made—The History.
http://www.sucrose.com/lhist.html
[3] Sustainable Economics: The Bitter Aftertaste of Sugar, Morgan Stanley Research, March 18, 2015.
[4] Sugar Economics: How Sweet It Isn’t.
http://www.morganstanley.com/ideas/sugar-economics-how-sweet-it-isnt
[5] Min, H. (2013) Large-Sized Soda Ban as an Alternative to Soda Tax. Cornell Journal of Law and Public Policy, 23, Article No. 6.
http://scholarship.law.cornell.edu/cgi/viewcontent.cgi?article=1395&context=cjlpp
[6] Food Insight (2021) Everything You Need to Know about Sucralose.
http://www.foodinsight.org/Everything_You_Need_to_Know_About_Sucralose
[7] Glycemic Index for Sweeteners.
http://www.sugar-and-sweetener-guide.com/glycemic-index-for-sweeteners.html
[8] Xylitol.
https://en.wikipedia.org/wiki/Xylitol
[9] Hietala, E.-L. and Larmas, M. (1995) Effects of Xylitol and Carbohydrate Diets on Dental Caries, Dentine Formation and Mineralization in Young Rats. Archives of Oral Biology, 40, 1137-1141.
[CrossRef] [PubMed]
[10] Cyclamate.
https://en.wikipedia.org/wiki/Sodium_cyclamate
[11] Saccharin.
https://en.wikipedia.org/wiki/Saccharin
[12] Artificial Sweeteners and Cancer.
https://www.cancer.gov/about-cancer/causes-prevention/risk/diet/artificial-sweeteners-fact-sheet
[13] Aspartame.
https://en.wikipedia.org/wiki/Aspartame
[14] Sucralose.
https://en.wikipedia.org/wiki/Sucralose
[15] Acesulfame Potassium.
https://en.wikipedia.org/wiki/Acesulfame_potassium
[16] Stevia.
https://en.wikipedia.org/wiki/Stevia
[17] What Is Monk Fruit?
http://monkfruit.org/what-is-monk-fruit-2
[18] Siraitia grosvenorii.
https://en.wikipedia.org/wiki/Siraitia_grosvenorii
[19] Jain, H. and Mulay, S. (2013) A Review on Different Modes and Methods for Yielding a Pentose Sugar: Xylitol. International Journal of Food Sciences and Nutrition, 65, 135-143.
[CrossRef] [PubMed]
[20] The History of Xylitol in Finland.
https://peppersmith.co.uk/blogs/news/the-history-of-xylitol-in-finland
[21] Scheinin, A. (1976) Caries Control through the Use of Sugar substitutes. International Dental Journal, 26, 4-13.
[22] Scheinin, A., Makinen, K.K. and Ylitalo, K. (1976) Turku Sugar Studies V: Final Report on the Effect of Sucrose, Fructose and Xylitol Diets on the Caries Incidence in Man. Acta Odontologica Scandinavica, 34, 179-216.
[CrossRef] [PubMed]
[23] Edgar, W.M. (1998) Sugar Substitutes, Chewing Gum and Dental Caries—A Review. British Dental Journal, 184, 29-33.
[CrossRef] [PubMed]
[24] Chedd, G. (1968) The Cyclcamate Saga. New Scientist, December, 547.
[25] (1987) The Bittersweet History of Sugar Substitutes. New York Times, March 29.
[26] Inhorn, S.L. and Meisner, L.F. (1969) Cyclamate Ban. Science, 166, 685.
[CrossRef] [PubMed]
[27] Serrur, M. (2016) The Bittersweet Story of Monkfruit. The Chew York Times, February 18.
[28] Tandel, K.R. (2011) Sugar Substitutes: Health Controversy over Perceived Benefits. Journal of Pharmacology and Pharmacotherapeutics, 2, 236-243.
http://www.ncbi.nlm.nih.gov/pmc/articles/PMC3198517
[CrossRef
[29] Lamotte, S. (2016) Health Effects of Artificial Sweeteners: Where do We Stand? CNN, January 18.
http://www.cnn.com/2016/01/18/health/where-do-we-stand-artificial-sweeteners
[30] Berry, C., Brusick, D., Cohen, S.M., Hardisty, J.F., Lee Grotz, V. and Williams, G.M. (2016) Sucralose Non-Carcinogenicity: A Review of the Scientific and Regulatory Rationale. Nutrition and Cancer, 68, 1247-1261.
https://www.ncbi.nlm.nih.gov/pmc/articles/PMC5152540/pdf/hnuc-68-1247.pdf
[CrossRef] [PubMed]
[31] https://www.fitday.com/fitness-articles/nutrition/healthy-eating/5-reasons-aspartame-is-bad-for-you.html
[32] Chang, S.S. and Cook, J.M. (1983) Stability Studies of Stevioside and Rebaudioside A in Carbonated Beverages. Journal of Agricultural and Food Chemistry, 31, 409-412.
[CrossRef
[33] Kline, V. (2010) Cooking Well, Low-Carbon, Sugar-Free Desserts. Hatherleigh Press, Hobart, NY.
[34] Barker, A.J. and Smalley, R.K. (1971) Thermolytic Decomposition of Benzo-1,2-Isothiazol-3-One-1,1-Dioxide (Saccharin). Tetrahedron Letters, 12, 4629-4632.
http://www.sciencedirect.com/science/article/pii/S0040403901975483
[Google Scholar] [CrossRef
[35] Thomas, L.C. and Schmidt, S.J. Apparent Melting: A New Approach to Characterizing Crystalline Structure in Pharmaceutical Materials. TA application Note TA401.
[36] Lee, J.W., Thomas, L.C. and Schmidt, L.J. (2011) Investigation of the Heating Rate Dependency Associated with the Loss of Crystalline Structure in Sucrose, Glucose, and Fructose Using a Thermal Analysis Approach (Part I). Journal of Agricultural and Food Chemistry, 59, 684-701.
[Google Scholar] [CrossRef] [PubMed]
[37] Golon, A. and Kuhnert, N. (2012) Unraveling the Chemical Composition of Caramel. Journal of Agricultural and Food Chemistry, 60, 3266-3274.
[CrossRef] [PubMed]
[38] http://nvlpubs.nist.gov/nistpubs/jres/7/jresv7n5p893_A2b.pdf
[39] Quasim, I., Firdous, A., Sahni, N., Khosa, S.K. and Kotru, P.N. (2009) Characterization of Pure and Doped Potassium Hydrogen Tartrate Single Crystals Grown in Silica Gel. Crystal Research and Technology, 44, 539-547.
[CrossRef
[40] Lawrence, J.F. (2003) Acesulfame/Acesulphame. In: Caballero, B., Finglas, P. and Toldra, F., Eds., Encyclopedia of Food Sciences and Nutrition, 2nd Edition, Academic Press, San Diego, 1-3.
[CrossRef
[41] Product Comparison Information.
https://www.naturallysweet.com.au/comparison-information
[42] Sillick, M. and Gregson, C.M. (2012) Spray Chill Encapsulation of Flavors within Anhydrous Erythritol Crystals. LWT—Food Science and Technology, 48, 107-113.
http://www.sciencedirect.com/science/article/pii/S0023643812001004
[CrossRef

Copyright © 2025 by authors and Scientific Research Publishing Inc.

Creative Commons License

This work and the related PDF file are licensed under a Creative Commons Attribution 4.0 International License.